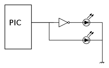
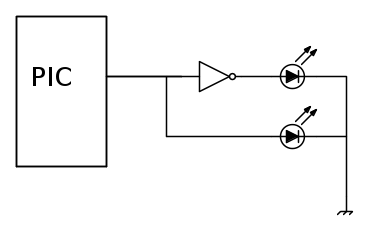
Led bicolore pilotato da un'uscita PIC alimentata a 3,3volt
ciao a tutti
torno qui per chiedervi lumi riguardo il problema in oggetto
mi spiego, vorrei accendere un led rosso/verde con l'ultima uscita che mi è rimasta libera di una PIC e fin qui nessun problema... ma se io volessi accendere sia il rosso che il verde?
è possibile secondo voi ottenere questo effetto con un'uscita PIC di tipo 3-state?
grazie anticipate
torno qui per chiedervi lumi riguardo il problema in oggetto
mi spiego, vorrei accendere un led rosso/verde con l'ultima uscita che mi è rimasta libera di una PIC e fin qui nessun problema... ma se io volessi accendere sia il rosso che il verde?
è possibile secondo voi ottenere questo effetto con un'uscita PIC di tipo 3-state?
grazie anticipate


