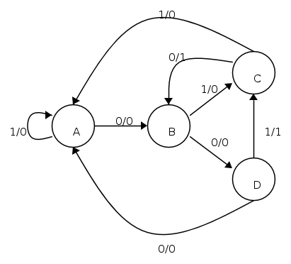
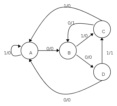
Diagramma degli stati
Ho un dubbio sulla costruzione del diagramma degli stati (questo per intenderci)
E' una sciocchezza farli se si ha la tabella della verità con stato presente, input e stato futuro.
Ma se non mi viene data, come faccio a ricavarlo da un qualunque circuito?
Noi abbiamo fatto diversi esempi tipo con FF J-K, D ecc dove le tabelle le si hanno già; ma se non ho niente, mi viene chiesto di progettare un qualunque circuito sequenziale che deve fare un certo lavoro, non penso che mi venga data la tabella degli stati, ma solo qual è lo scopo del circuito che devo realizzare.
E' una sciocchezza farli se si ha la tabella della verità con stato presente, input e stato futuro.
Ma se non mi viene data, come faccio a ricavarlo da un qualunque circuito?
Noi abbiamo fatto diversi esempi tipo con FF J-K, D ecc dove le tabelle le si hanno già; ma se non ho niente, mi viene chiesto di progettare un qualunque circuito sequenziale che deve fare un certo lavoro, non penso che mi venga data la tabella degli stati, ma solo qual è lo scopo del circuito che devo realizzare.
e
, anche sovrapposte. La rete ha un solo ingresso
e una sola uscita
che vale
se rivela una delle due sequenze, e vale
altrimenti.



= {0,1,2,E}.
, ragionando in questo modo:
allora EE =
): 
con ingresso
dovrei andare in
no?

