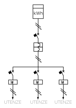
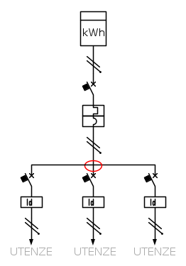
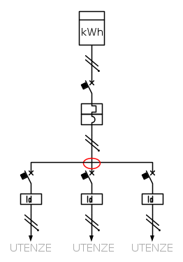
Collegamento dispositivi di protezione
Salve, ho scaricato fidocad e per provarlo ho fatto un disegno per capire come collegare i dispositivi di protezione a monte dell'impianto. Vorrei sapere se il disegno in questione è giusto oppure se devo apportare correzioni ! Complimenti per il programnma che funziona bene ed è davvero molto utile e intuitivo !





