L'asincrono può essere assimilato ad un trasformatore: il
primario è costituito dagli avvolgimenti di statore, il secondario dagli
avvolgimenti di rotore, nel caso di rotore avvolto, o dalla gabbia di
scoiattolo. Come nel trasformatore, il flusso magnetico concatenato con il
primario può essere scomposto in un flusso di dispersione, che si concatena con il solo avvolgimento primario, ed un
flusso utile, concatenato sia con il primario che con il secondario. Come
nel trasformatore, occorre tener conto della resistenza ohmica degli
avvolgimenti e delle
perdite termiche nel ferro determinate dal flusso alternato per isteresi
magnetica e correnti parassite. Il circuito primario è dunque del tutto
simile a quello del trasformatore. Occorre naturalmente osservare che i
valori delle grandezze saranno diversi, soprattutto per il fatto che la
presenza del traferro, che aumenta significativamente la riluttanza del
circuito magnetico, richiede, a parità di flusso una corrente
magnetizzante percentualmente molto più elevata.Per il secondario si può fare un discorso analogo: oltre al flusso
utile, in comune con il primario, esiste un flusso disperso che interessa il
solo secondario; gli avvolgimenti (o le barre della gabbia) possiedono
resistenza ohmica, ma qui, a differenza del trasformatore, la forza
elettromotrice indotta ha frequenza e valore variabili in funzione
della velocità relativa che il rotore possiede rispetto al campo
magnetico rotante la cui velocità è legata alla frequenza di
alimentazione ed al numero di poli dell'avvolgimento primario. Questa
velocità relativa dipende dal carico meccanico resistente applicato
all'albero di rotore. Se n0 =60f/p è la velocità del campo rotante
(in giri/min) ed n
la effettiva velocità del rotore, si definisce scorrimento il rapporto
s=(n0-n)/n0. Il numeratore è la velocità relativa che risulta pertanto uguale a
s*n0.
La forza elettromotrice secondaria ha un valore efficace che dipende
dallo scorrimento secondo la relazione: E2(s)=s*E2(1) avendo indicato con
E2(1) la forza elettromotrice secondaria che si ha a rotore fermo
(n=0, s=1).
La frequenza di E2(s) è uguale ad
s*f dove f è la frequenza della
tensione di alimentazione. L'induttanza di dispersione secondaria dà
pertanto luogo ad una reattanza funzione dello scorrimento secondo la
relazione X2(s)=s*X2(1) essendo X2(1) la reattanza di dispersione con
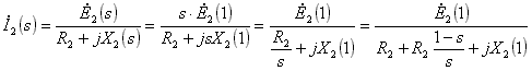
rotore fermo. La corrente di rotore è dunque funzione dello scorrimento.
Il circuito equivalente della macchina asincrona è reso formalmente
identico a quello del trasformatore, per il quale nel secondario c'è la
stessa frequenza del primario, con alcuni artifici matematici:

Tutto, allora, nel secondario avviene come se ci fosse un generatore di
forza elettromotrice di valore pari ad E2(1) e frequenza f che,
attraverso l'impedenza interna secondaria costituita dalla resistenza di
rotore R2 e dalla reattanza di dispersione X2(1), alimenta una resistenza
ohmica, variabile con lo scorrimento, di valore R2*(1-s)/s. La condizione
s=1 che si ha a rotore fermo, annulla questa resistenza: all'avviamento il
motore asincrono è come un trasformatore in condizioni di cortocircuito
netto; Per s= 0 (condizione ideale) la resistenza assume valore infinito e
ciò corrisponde alla condizione di funzionamento a vuoto del
trasformatore. Nella situazione intermedia la resistenza assume un valore
finito e la potenza formalmente dissipata in essa, corrisponde alla potenza
elettrica trasformata da una fase in potenza meccanica.
Le considerazioni precedenti portano al seguente circuito
equivalente:
