Il funzionamento del trasformatore si basa sulla legge di Faraday-Neumann-Lenz.
Essa lega indissolubilmente flussi magnetici variabili
nel tempo e tensioni
indotte.
La tensione alternata applicata al primario (U1)
stabilisce
una corrente che dà luogo ad un flusso magnetico alternato (F)
che produce una forza elettromotrice (E1) uguale e
contraria alla tensione applicata.
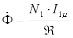
Il valore della corrente necessaria (corrente
magnetizzante:I1m
) dipende dalla permeabilità del circuito magnetico nel quale il flusso si
stabilisce. La legge di Hopkinson permette di stabilire una relazione del
tipo:

dove ,

è
Lo stesso flusso, nel secondario, fa nascere una forza elettromotrice E2.
Se nel secondario può circolare una corrente (I2),
questa produce un flusso magnetico alternato opposto a quello che ne è
stato la causa.
Il flusso pertanto, per effetto della corrente secondaria, tende ad annullarsi. Ma poiché la
tensione primaria è mantenuta costante, il flusso non cambiare. Ecco
allora che nel primario nasce una nuova corrente in grado di annullare
l'azione smagnetizzante della corrente secondaria (corrente di richiamo o di reazione: I1r).
La corrente primaria è allora costituita da questa corrente di reazione
che si aggiunge alla corrente magnetizzante necessaria per il flusso.

Nel caso di permeabilità infinita la corrente primaria
corrisponde alla sola corrente di reazione essendo nulla la corrente
magnetizzante.
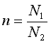
Il rapporto tra le forze elettromotrici E1 ed
è dato dal rapporto tra il numero di spire
dell'avvolgimento primario (N1) e quello del secondario
(N2). Questo rapporto è chiamato rapporto di
trasformazione.

essendo per la legge di
Fardaday-Neumann-Lenz


dove w è la
pulsazione della tensione alternata e F è
il flusso magnetico.
Il rapporto di trasformazione corrisponde anche al
rapporto esistente tra la corrente secondaria e la corrente primaria di
richiamo: infatti, affinché l'azione smagnetizzante secondaria sia
annullata dalla corrente primaria di reazione occorre che le due forze
magnetomotrici siano uguali e contrarie

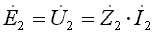
Si
hanno inoltre le relazioni



dove
Z2 è l'impedenza di carico del secondario.
Si
hanno anche le seguenti relazioni tra valori efficaci: U1/U2=I2/I1 relazione
ricavabile anche con considerazioni di tipo energetico: se il
secondari alimenta un carico puramente resistivo, la potenza attiva è U2*I2; questa potenza non può
che essere tutta quella assorbita dal primario,
essendo nulle le perdite interne; essa si può esprimere con U1*I1
quando è nulla la corrente magnetizzante (comunque in ogni caso con U1*I1r)
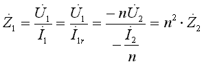
Inoltre,
nell'ipotesi di corrente magnetizzante nulla si ha:

cioè,
l'impedenza vista dal primario è uguale alla impedenza vista dal
secondario moltiplicata per il quadrato del rapporto di trasformazione.
Il simbolo circuitale del trasformatore ideale
è (nel caso perfettamente ideale di corrente magnetizzante nulla)
E nel caso di corrente magnetizzante non
nulla.