Ho una resistenza in alluminio, un sensore di temperatura (un diodo)
Voglio poter mantenere la resistenza ad una temperatura intorno ai 300 gradi
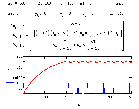
Posso misurare la tensione ai capi del diodo e quindi conoscere la temperatura... la converto su 10 bit e la confronto con il valore di riferimento... il tutto va nel controllore.... ora... non ho capito bene... come funziona quindi il controllore?
Volendolo implementare in vhdl anche.. non è un banale if? controlla... se il valore è maggiore uscita è bassa, altrimenti è alta... apro e chiudo l'interruttore... non ho nemmeno bisogno di convertirla nuovamente in analogico..o meglio.. si ma non con elevata risoluzione.
A questo punto però non capisco.. a cosa mi derve il controllore PWM. Il PWM non produce degli impulsi a durata variabile? Ma io non posso scegliere a priori...
Mi dispiace esser tanto confusa...

Elettrotecnica e non solo (admin)
Un gatto tra gli elettroni (IsidoroKZ)
Esperienza e simulazioni (g.schgor)
Moleskine di un idraulico (RenzoDF)
Il Blog di ElectroYou (webmaster)
Idee microcontrollate (TardoFreak)
PICcoli grandi PICMicro (Paolino)
Il blog elettrico di carloc (carloc)
DirtEYblooog (dirtydeeds)
Di tutto... un po' (jordan20)
AK47 (lillo)
Esperienze elettroniche (marco438)
Telecomunicazioni musicali (clavicordo)
Automazione ed Elettronica (gustavo)
Direttive per la sicurezza (ErnestoCappelletti)
EYnfo dall'Alaska (mir)
Apriamo il quadro! (attilio)
H7-25 (asdf)
Passione Elettrica (massimob)
Elettroni a spasso (guidob)
Bloguerra (guerra)





