Cos'è ElectroYou | Login Iscriviti

ElectroYou - la comunità dei professionisti del mondo elettrico

LM317 corrente pulsante

Elettronica lineare e digitale: didattica ed applicazioni

Moderatori: Foto Utentecarloc, Foto Utenteg.schgor, Foto UtenteBrunoValente, Foto UtenteIsidoroKZ

4
voti

[101] Re: LM317 corrente pulsante

Messaggioda Foto UtenteEnChamade » 20 nov 2014, 15:21

spud ha scritto:edit: si lo studio pensavo di farlo graficamente, ho visto che matlab ha un'app che si chiama pid tuning, magari la provo per curiosità.


Se hai voglia di provare, procedi; magari imparo a conoscere uno strumento nuovo. Io, di solito, preferisco carta, calamaio, diagrammi asintotici e, ultimamente, anche FidocadJ :mrgreen: :mrgreen: :mrgreen: ... Ecco il tuo caso :lol: :lol: :lol:


Nel grafico, oltre il guadagno OL dell'operazionaole e la funzione W_1(s), è mostrato il guadagno d'anello T(s)=A_{OL}(s)W_1(s) e anche il sistema ad anello chiuso W_{CL}(s) che è stato stimato graficamente.
Quindi, il tuo sistema ha una banda di circa 4MHz.

spud ha scritto:Se metto la componente integrale avrei errore a regime nullo, cosa che non si avrebbe solo con la proporzionale, però ci vorrà un po' di più per andare a regime, intendo si deve aspettare che la componente integrale si annulli (dovrebbe essere windup :?: )

Questo può succedere nello start-up del circuito (quando accendi l'alimentazione). Poi, se il sistema lavora in linearità, il tempo di salita è dettato dalla banda del sistema ad anello chiuso. Il windup accade se hai comportamenti non lineari nel sistema, tipo le saturazioni che limitano la dinamica di uscita. Però, nel tuo caso, satura il controllore e non il MOS (nel senso che non è il MOS che limita la dinamica verso l'alto), e quindi otterrai un rallentamento nel tempo di salita ma non overshoot. Mi sono spiegato?
Avatar utente
Foto UtenteEnChamade
6.498 2 8 12
G.Master EY
G.Master EY
 
Messaggi: 588
Iscritto il: 18 giu 2009, 12:00
Località: Padova - Feltre

0
voti

[102] Re: LM317 corrente pulsante

Messaggioda Foto Utentespud » 20 nov 2014, 15:28

Che capolavoro :!: :!:
Si grazie sei stato chiarissimo, mi metto subito all'opera e vediamo cosa esce, poi ti mostro tutto.

Grazie ancora per i contributi O_/
Atlant.

Behind every great man is a woman rolling her eyes.
Avatar utente
Foto Utentespud
3.767 3 10 12
free expert
 
Messaggi: 1601
Iscritto il: 1 feb 2012, 14:26
Località: Udine

0
voti

[103] Re: LM317 corrente pulsante

Messaggioda Foto Utentespud » 20 nov 2014, 17:15

Eccoci, il risultato di matlab è questo:

Wcl.jpg

Come W_{C} ho usato quella rappresentata sul datasheet dell'opamp, cioè uguale alla tua.

W_C = \frac{A_{OL}}{1+s\tau}

dove A_{OL} = 10^5 \frac{V}{V}, \tau = \frac{1}{2\pi f_t} e f_t = 30\,\text{Hz}

Ho calcolato che siamo a circa 3\,\text{MHz} di banda e 135^{\circ} di margine di fase (non ho capito perché matlab dice che il margine è infinito), ora, se ciò che ho ricavato è corretto direi che ho parecchio margine di fase e quindi potrei provare a impostare un controllore per aumentare la banda. Oppure potrei dire che il controllo soddisfa le specifiche richieste, e quindi il lavoro sarebbe finito.

EDIT: ho sbaglaito, per quel prodotto banda guadagno la frequenza di taglio dell'opamp deve essere a 45Hz quindi la banda viene pressappoco uguale a quella ricavata da EnChamade per via grafica
Atlant.

Behind every great man is a woman rolling her eyes.
Avatar utente
Foto Utentespud
3.767 3 10 12
free expert
 
Messaggi: 1601
Iscritto il: 1 feb 2012, 14:26
Località: Udine

3
voti

[104] Re: LM317 corrente pulsante

Messaggioda Foto UtenteEnChamade » 20 nov 2014, 17:39

spud ha scritto:Ho calcolato che siamo a circa 3\,\text{MHz} di banda e 135^{\circ} di margine di fase (non ho capito perché matlab dice che il margine è infinito), ora, se ciò che ho ricavato è corretto direi che ho parecchio margine di fase e quindi potrei provare a impostare un controllore per aumentare la banda.


C'è un errore. Il margine di fase non si calcola in questo modo. Si calcola sul guadagno d'anello ed è l'angolo che manca per arrivare a -180° alla frequenza di attraversamente del guadagno d'anello (dove questo diventa unitario). Forse Matlab ti dice margine infinito perché su quella curva che erroneamente tu hai usato per il calcolo del margine di fase non c'è una frequenza d'attraversamento... ma questa è solo una mia ipotesi. Comunque dovresti avere margine di fase attorno i 90°.
La frequenza di attraversamento è anche una stima della banda del sistema in catena chiusa. Ti è chiaro il perché?
Alla fine mi sa che calamaio, carta e diagramma asintotici vincono ancora sul calcolatore :mrgreen: :mrgreen:

Puoi decidere di allargare la banda, ma allora devi cambiare operazionale. perché?

spud ha scritto:Oppure potrei dire che il controllo soddisfa le specifiche richieste, e quindi il lavoro sarebbe finito.

Si. E' corretto.
Avatar utente
Foto UtenteEnChamade
6.498 2 8 12
G.Master EY
G.Master EY
 
Messaggi: 588
Iscritto il: 18 giu 2009, 12:00
Località: Padova - Feltre

4
voti

[105] Re: LM317 corrente pulsante

Messaggioda Foto Utentespud » 20 nov 2014, 18:19

Hai ragione :!:
EnChamade ha scritto:Forse Matlab ti dice margine infinito perché su quella curva che erroneamente tu hai usato per il calcolo del margine di fase non c'è una frequenza d'attraversamento... ma questa è solo una mia ipotesi.

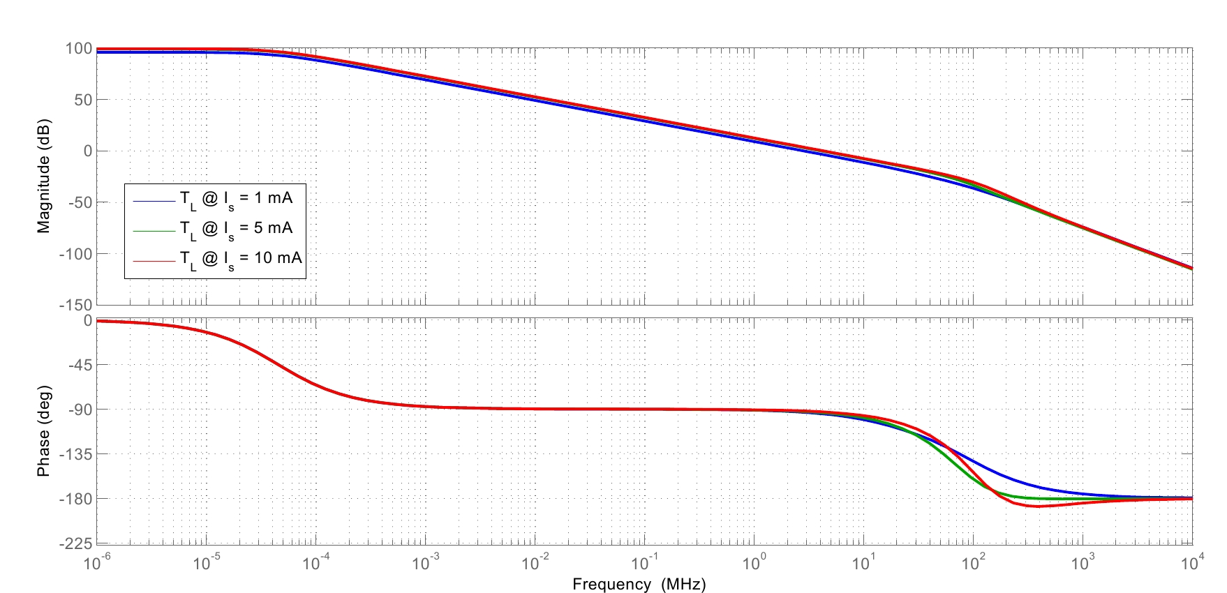
Si ora che mi hai fatto notare l'errore sono arrivato alla stessa conclusione, questo è il diagramma giusto da considerare:

Tl.jpg

La banda nel caso di minima corrente è a circa 3MHz mentre a media e a massima siamo inorno a 4.2MHz mentre il margine di fase, come avevi predetto tu, è a circa 85° in tutti i casi.

EnChamade ha scritto:La frequenza di attraversamento è anche una stima della banda del sistema in catena chiusa. Ti è chiaro il perché?

Si, provo a spiegarla senza essere troppo maccheronico. Abbiamo che T_L è una fdt di tipo passa basso, supponiamo che attraversi l'asse 0 dB a {\omega}_t. Retroazionando si ha

W_{CL} = \frac{T_L}{1 + T_L}

per \omega < {\omega}_t si ha T_L \gg 1 quindi W_{CL} \simeq \frac{T_L}{T_L} \simeq 1

per \omega > {\omega}_t si ha T_L \ll 1 quindi W_{CL} \simeq \frac{T_L}{1} \simeq T_L

per ciò la fdt ad anello chiuso "corre" sull'asse 0 dB fino alla {\omega}_t e poi scende come la T_L.

Dunque, siamo ampiamente sopra la banda richiesta e abbiamo stabilità a prova di bomba, direi che posso ritenermi parecchio soddisfatto :mrgreen:

Ti ringrazio ancora un sacco per l'aiudo, io ho già iniziato a riordinare tutti i passaggi in un documento, magari lo potremmo pubblicare come articolo, credo che sia un bel lavoro :D

Grazie anche a Foto UtenteDarwinNE e Foto UtentePietroBaima per la pazienza :D
Atlant.

Behind every great man is a woman rolling her eyes.
Avatar utente
Foto Utentespud
3.767 3 10 12
free expert
 
Messaggi: 1601
Iscritto il: 1 feb 2012, 14:26
Località: Udine

0
voti

[106] Re: LM317 corrente pulsante

Messaggioda Foto UtenteEnChamade » 21 nov 2014, 10:26

spud ha scritto:Dunque, siamo ampiamente sopra la banda richiesta e abbiamo stabilità a prova di bomba, direi che posso ritenermi parecchio soddisfatto

Sarebbe anche bello verificare che il tempo di salita ottenuto dal prototipo sia concorde con la banda stimata. Ho guardato le misure che hai postato precedentemente, ma qualcosa non mi torna. Sei sicuro di quelle misure? Non riesci ad avere un gradino d'ingresso più pulito?

spud ha scritto:Ti ringrazio ancora un sacco per l'aiudo, io ho già iniziato a riordinare tutti i passaggi in un documento, magari lo potremmo pubblicare come articolo, credo che sia un bel lavoro

Se vuoi e se risulta interessante alla comunità di EY, ti posso aiutare alla stesura di questo articolo. Fammi sapere.
Avatar utente
Foto UtenteEnChamade
6.498 2 8 12
G.Master EY
G.Master EY
 
Messaggi: 588
Iscritto il: 18 giu 2009, 12:00
Località: Padova - Feltre

1
voti

[107] Re: LM317 corrente pulsante

Messaggioda Foto Utentespud » 21 nov 2014, 10:40

EnChamade ha scritto:Sarebbe anche bello verificare che il tempo di salita ottenuto dal prototipo sia concorde con la banda stimata.

Mi ero riproposto di fare le misure la prossima volta che sono in laboratorio, speravo di riuscire ad acquisire i segnali dell'oscilloscopoio senza stare ogni volta a fare le foto :D

EnChamade ha scritto:Ho guardato le misure che hai postato precedentemente, ma qualcosa non mi torna. Sei sicuro di quelle misure? Non riesci ad avere un gradino d'ingresso più pulito?

Forse perché le misure sono state fatte con R_I = 100\,\Omega, che però ho sostituito con una da 470\,\Omega in modo da poter avere da 0 a 5V in ingresso, riconsiderando tutti i punti di lavoro e quello che ne consegue ovviamente. Poi il circuito è montato su breadboard..
Per il gradino in ingresso non saprei, è il segnale che arriva direttamente dal generatore di funzioni, posso provare a spostarmi in un'altra postazione per vedere se cambia qualcosa.

EnChamade ha scritto:Se vuoi e se risulta interessante alla comunità di EY, ti posso aiutare alla stesura di questo articolo. Fammi sapere.

Magari :D
Atlant.

Behind every great man is a woman rolling her eyes.
Avatar utente
Foto Utentespud
3.767 3 10 12
free expert
 
Messaggi: 1601
Iscritto il: 1 feb 2012, 14:26
Località: Udine

2
voti

[108] Re: LM317 corrente pulsante

Messaggioda Foto UtenteDarwinNE » 21 nov 2014, 11:39

Per quanto riguarda i rimbalzi del segnale in ingresso, non è che per caso hai un cavo coassiale un po' lungo, diciamo intorno ai 3m?
Prova a mettere un carico adattato all'ingresso del tuo circuito, guarda se la situazione migliora. Ovviamente dovrai compensare sul generatore di segnale l'ampiezza per ottenere la tensione che desideri.
Follow me on Mastodon: @davbucci@mastodon.sdf.org
Avatar utente
Foto UtenteDarwinNE
31,0k 7 11 13
G.Master EY
G.Master EY
 
Messaggi: 4420
Iscritto il: 18 apr 2010, 9:32
Località: Grenoble - France

0
voti

[109] Re: LM317 corrente pulsante

Messaggioda Foto Utentespud » 21 nov 2014, 11:54

Il cavo dovrebbe essere lungo circa un metro.

In pratica dici di mettere una resistenza da 50\,\Omega che va da Vref a massa?
Atlant.

Behind every great man is a woman rolling her eyes.
Avatar utente
Foto Utentespud
3.767 3 10 12
free expert
 
Messaggi: 1601
Iscritto il: 1 feb 2012, 14:26
Località: Udine

1
voti

[110] Re: LM317 corrente pulsante

Messaggioda Foto UtenteDarwinNE » 21 nov 2014, 12:39

Beh, prova. :cool:
Tra l'altro, magari hai anche un metro e mezzo di sonda dell'oscilloscopio.

Magari cerca di tenere tutti i cavi corti corti, oppure piazza se puoi il tuo circuito sull'oscilloscopio e metti quest'ultimo con un ingresso a 50 ohm (se possibile).
Insomma, gioca un po', ho visto un periodo di una trentina di nanosecondi nelle "oscillazioni" del segnale in ingresso. Se il cavo ha un fattore di velocità dell'ordine di 0.75, la luce percorre una ventina di centimetri al nanosecondo, quindi un andata/ritorno su 3 metri fornisce qualcosa dell'ordine del periodo che si vede nelle misure.

Per quanto riguarda le tecniche di misura e di realizzazione dei prototipi, prova a guardare questo bellissimo documento:

http://cds.linear.com/docs/en/applicati ... an47fa.pdf

In particolare la parte sulle sonde, la connessione all'oscilloscopio e l'appendice F.
Quando i segnali e gli strumenti di misura sono rapidi, non è detto che sia facile fare misure corrette al primo colpo...
Follow me on Mastodon: @davbucci@mastodon.sdf.org
Avatar utente
Foto UtenteDarwinNE
31,0k 7 11 13
G.Master EY
G.Master EY
 
Messaggi: 4420
Iscritto il: 18 apr 2010, 9:32
Località: Grenoble - France

PrecedenteProssimo

Torna a Elettronica generale

Chi c’è in linea

Visitano il forum: Nessuno e 84 ospiti