I misteri delle punte.
Moderatori:
carloc,
g.schgor,
BrunoValente,
IsidoroKZ
35 messaggi
• Pagina 3 di 4 • 1, 2, 3, 4
0
voti
...In effetti le cose vanno come se la punta fosse rivestita da un sottilissimo strato di vernice avente una rigidità dielettrica molto superiore all'aria: I primi ioni d'aria che si formassero andrebbero a caricare la superficie dello strato di vernice di segno opposto alla punta e l'aria vedrebbe quindi una punta ad un potenziale inferiore o addirittura nullo. Solo quando il potenziale della punta metallica dovesse superare i valori che produrrebbero nello strato di vernice un campo elettrico superiore alla rigidità dielettrica della vernice allora l'aria comincerebbe a vedere un potenziale crescente.
-

BrunoValente
39,6k 7 11 13 - G.Master EY

- Messaggi: 7796
- Iscritto il: 8 mag 2007, 14:48
0
voti
A pensarci bene una ipotesi fantasiosa (molto fantasiosa
) potrebbe essere la seguente: (abbiate pazienza, la spiego a modo mio... entro in un campo dove non sono affatto competente
).
Gli elettroni liberi nei metalli sono confinati in qualche maniera all'interno del metallo e non escono neanche se il potenziale del metallo (isolato) viene portato a valori negativi. perché?
Questo in effetti potrebbe spiegarsi ipotizzando che in superficie le cose vadano come se vi fosse un muro...ma un muro per gli elettroni penso non possa essere altro che una sorta di "cappuccio carico positivamente".
Se veramente esistesse una sorta di sottilissimo rivestimento dielettrico che si caricasse di segno opposto al metallo e che quando due metalli venissero in contatto tra loro si perforasse immediatamente in modo da non manifestare la sua presenza...
Gli elettroni liberi nei metalli sono confinati in qualche maniera all'interno del metallo e non escono neanche se il potenziale del metallo (isolato) viene portato a valori negativi. perché?
Questo in effetti potrebbe spiegarsi ipotizzando che in superficie le cose vadano come se vi fosse un muro...ma un muro per gli elettroni penso non possa essere altro che una sorta di "cappuccio carico positivamente".
Se veramente esistesse una sorta di sottilissimo rivestimento dielettrico che si caricasse di segno opposto al metallo e che quando due metalli venissero in contatto tra loro si perforasse immediatamente in modo da non manifestare la sua presenza...
-

BrunoValente
39,6k 7 11 13 - G.Master EY

- Messaggi: 7796
- Iscritto il: 8 mag 2007, 14:48
0
voti
La volevate con la punta arrotondata... eccovi accontentati.
il risultato è questo.
Ci sono due curve perché ho messo uno strato di 0.2mm di PVC.. l'ho inserito solo per curiosità...
Eccovi il risultato del campo elettrico E dalla coordinata 0,30 alla coordinata 0,0
file di progetto:
il risultato è questo.
Ci sono due curve perché ho messo uno strato di 0.2mm di PVC.. l'ho inserito solo per curiosità...
Eccovi il risultato del campo elettrico E dalla coordinata 0,30 alla coordinata 0,0
file di progetto:
rini -
lectroYou
lectroYou0
voti
rini, se capisco bene il raggio della punta è 5 mm, o sbaglio?
-

BrunoValente
39,6k 7 11 13 - G.Master EY

- Messaggi: 7796
- Iscritto il: 8 mag 2007, 14:48
0
voti
bruno valente ha scritto:A pensarci bene una ipotesi fantasiosa (molto fantasiosa) potrebbe essere la seguente: (abbiate pazienza, la spiego a modo mio... entro in un campo dove non sono affatto competente
).
Gli elettroni liberi nei metalli sono confinati in qualche maniera all'interno del metallo e non escono neanche se il potenziale del metallo (isolato) viene portato a valori negativi. perché?
Questo in effetti potrebbe spiegarsi ipotizzando che in superficie le cose vadano come se vi fosse un muro...ma un muro per gli elettroni penso non possa essere altro che una sorta di "cappuccio carico positivamente".
proprio così gli elettroni liberi, sono obbiligati a rimanere "dentro" il metallo da un "muro" di potenziale (diversamente alto per i diverssi metalli) come acqua ... in una vasca da bagno insomma
BTW per l'effetto fotoelettrico non posso fare a meno di citare una lezione della Incredibile Professoressa Sylvia Ceyer
DAL tempo --->> 06:30
semplicemente INCREDIBILE ... direi Mitica
(per il corso completo di trascrizioni in pdf http://ocw.mit.edu/courses/chemistry/5- ... s/embed04/)
"Il circuito ha sempre ragione" (Luigi Malesani)
0
voti
RenzoDF ha scritto:...proprio così gli elettroni liberi, sono obbiligati a rimanere "dentro" il metallo da un "muro" di potenziale (diversamente alto per i diverssi metalli) come acqua ... in una vasca da bagno insomma... per farli uscire bisogna alzare il loro livello energetico medio ...
Ok, però io non sto tirando fuori elettroni dalla vasca: sto cercando di infilarceli dentro
. Questo muro si forma anche al contrario?E non solo: questo muro deve proprio comportarsi come uno strato di materiale dielettrico cioè deve potersi elettrizzare in superficie, nel senso che alcune cariche provenenti dall'esterno devono potervisi depositare sopra, altrimenti come farebbe il potenziale in prossimità della superficie ad abbassarsi? Intendo dire che solo se la superficie esterna di questo muro riesce a caricarsi di elettricità di segno opposto a quella del metallo si può abbassare il potenziale esterno alla punta e quindi l'intensità del campo può ridursi sotto al valore necessario alla rottura del dielettrico aria.
-

BrunoValente
39,6k 7 11 13 - G.Master EY

- Messaggi: 7796
- Iscritto il: 8 mag 2007, 14:48
0
voti
Un saluto a tutti e complimenti per questa discussione!
La sto seguendo dall'inizio e anche se non sono all'altezza di dare la risposta cercata da bruno valente devo dire che mi ha molto appassionato.
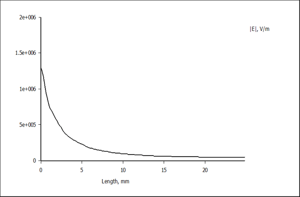
In realtà questo mio intervento probabilmente è al limite dell'O.T., ma c'è qualcosa che mi sfugge nelle simulazioni fatte da rini. Precisamente, riferendoci al grafico riportato al topic [23] parte in basso relativa al campo elettrico, sinceramente non capisco lo "spazio" fra 0 e 5mm in cui il campo sembra essere zero.
perché zero? E perché si ha l'impennata a 5mm?? Sicuramente è una mia carenza in materia, ma non me lo so spiegare. Tra l'altro questa discussione mi ha fatto "scoprire" FEMM come software di simulazione, che mi interessa molto. Premesso che non l'avevo mai usato, scaricato il modello creato da rini, ho provato ad ottenere lo stesso grafico su cui avevo il dubbio e... non so, avrò di certo sbagliato o non considerato qualcosa, ma a me il grafico del campo elettrico viene diverso
Anche se viene come immaginavo io dovesse venire sono certo che l'errore è mio, ma vorrei capire dove sbaglio! Riporto il grafico che ho ottenuto (ripeto, dal modello scaricato, quindi senza modifiche):
Scusate ancora se sono O.T. (parzialmente), ma cosa non torna fra i due grafici?
Sto sbagliando qualcosa di certo, ma non capisco cosa...
Grazie mille a chiunque mi potrà dare una risposta... e spiacente di non essere in grado di rispondere a Bruno... Comunque vi seguo con interesse!
In realtà questo mio intervento probabilmente è al limite dell'O.T., ma c'è qualcosa che mi sfugge nelle simulazioni fatte da rini. Precisamente, riferendoci al grafico riportato al topic [23] parte in basso relativa al campo elettrico, sinceramente non capisco lo "spazio" fra 0 e 5mm in cui il campo sembra essere zero.
perché zero? E perché si ha l'impennata a 5mm?? Sicuramente è una mia carenza in materia, ma non me lo so spiegare. Tra l'altro questa discussione mi ha fatto "scoprire" FEMM come software di simulazione, che mi interessa molto. Premesso che non l'avevo mai usato, scaricato il modello creato da rini, ho provato ad ottenere lo stesso grafico su cui avevo il dubbio e... non so, avrò di certo sbagliato o non considerato qualcosa, ma a me il grafico del campo elettrico viene diverso Scusate ancora se sono O.T. (parzialmente), ma cosa non torna fra i due grafici?
Grazie mille a chiunque mi potrà dare una risposta... e spiacente di non essere in grado di rispondere a Bruno... Comunque vi seguo con interesse!

- Allegati
-
- Campo elettrico
- campo.png (5.53 KiB) Osservato 1579 volte
0
voti
Ciao Layer,
Credo che rini abbia considerato una punta con raggio di 5mm e quindi sotto i 5mm il campo crolla a zero: siamo all'interno della punta e all'interno dei conduttori il campo è sempre nullo. Il potenziale all'interno invece non è nullo ma è rigorosamente costante.
Credo che rini abbia considerato una punta con raggio di 5mm e quindi sotto i 5mm il campo crolla a zero: siamo all'interno della punta e all'interno dei conduttori il campo è sempre nullo. Il potenziale all'interno invece non è nullo ma è rigorosamente costante.
-

BrunoValente
39,6k 7 11 13 - G.Master EY

- Messaggi: 7796
- Iscritto il: 8 mag 2007, 14:48
0
voti
Ciao Bruno, intanto grazie per la risposta!
A dire il vero è stata anche la mia prima ipotesi e se è così ovviamente si spiegano le differenze. Avevo tuttavia scartato questa ipotesi per due motivi: primo perché una punta da 5mm (mezzo cm!) di raggio credo sia ben lontana da un ago da insulina. Secondo perché proprio per quello che mi hai risposto tu mi pareva improbabile che rini nella simulazione fosse "entrato" nella punta, visto che all'interno il campo è nullo. Comunque ripeto: se queste sono le condizioni allora mi spiego le differenze notate da me. Peccato non avere ancora la risposta al tuo quesito...
Ciao e grazie!
35 messaggi
• Pagina 3 di 4 • 1, 2, 3, 4
Chi c’è in linea
Visitano il forum: Nessuno e 78 ospiti

Elettrotecnica e non solo (admin)
Un gatto tra gli elettroni (IsidoroKZ)
Esperienza e simulazioni (g.schgor)
Moleskine di un idraulico (RenzoDF)
Il Blog di ElectroYou (webmaster)
Idee microcontrollate (TardoFreak)
PICcoli grandi PICMicro (Paolino)
Il blog elettrico di carloc (carloc)
DirtEYblooog (dirtydeeds)
Di tutto... un po' (jordan20)
AK47 (lillo)
Esperienze elettroniche (marco438)
Telecomunicazioni musicali (clavicordo)
Automazione ed Elettronica (gustavo)
Direttive per la sicurezza (ErnestoCappelletti)
EYnfo dall'Alaska (mir)
Apriamo il quadro! (attilio)
H7-25 (asdf)
Passione Elettrica (massimob)
Elettroni a spasso (guidob)
Bloguerra (guerra)





