Cos'è ElectroYou | Login Iscriviti

ElectroYou - la comunità dei professionisti del mondo elettrico

Diagramma degli stati

Elettronica lineare e digitale: didattica ed applicazioni

Moderatori: Foto Utentecarloc, Foto Utenteg.schgor, Foto UtenteBrunoValente, Foto UtenteIsidoroKZ

0
voti

[21] Re: Diagramma degli stati

Messaggioda Foto UtenteDanteCpp » 14 feb 2014, 17:59

Shika93 ha scritto:Quindi io devo vedere su I cosa vedo.


:?: Cosa :?:

Anche quest'ultimo automa è non deterministico, oltre ad'essere quasi illeggibile!

Comunque. non sto a farti anche questa volta la computazione passo passo, ma continua a non rispettare la specifica!
Avatar utente
Foto UtenteDanteCpp
4.730 3 9 13
Master EY
Master EY
 
Messaggi: 1106
Iscritto il: 15 dic 2011, 18:51

0
voti

[22] Re: Diagramma degli stati

Messaggioda Foto UtenteShika93 » 14 feb 2014, 21:15

Hahahahahahahahahahahahahah oddio che razza di frase ho scritto?????

Scusa!!

Intendevo dire: devo scansionare bit per bit I per fare il grafo? Oppure fare il grafo solo per 001 e 010?
perché non capisco sta cosa...

Cioè, il mio pensiero deve essere:
primo bit di I=1. Niente che debba riconoscere inizia per 1 quindi U=0
secondo bit=1. Idem. U=00
Terzo bit=0. Mmm...Forse riconosco qualcosa. U=000
Quarto bit=1. Mmm...Dai che ci siamo. U=0000
Quinto bit=1. Porca vacca è andata male. U=00000
Sesto bit=1. U=000000
Settimo bit=0. Ok, vediamo...U=0000000
Ottavo bit=0, U=00000000
Nono bit=1. Oh, ho riconosciuto la prima sequenza! U=000000001
Decimo bit=0. Oh cavolo, una sequenza concatenata. U=0000000011

E così via. Devo fare il grafico di questa cosa qui?
Avatar utente
Foto UtenteShika93
282 1 5 7
Expert
Expert
 
Messaggi: 848
Iscritto il: 30 dic 2013, 21:28

0
voti

[23] Re: Diagramma degli stati

Messaggioda Foto UtenteDanteCpp » 14 feb 2014, 21:38

Bé tu dovresti creare un graffo più generale possibile, che sia in grado di riconoscere 001 e 010 in un'arbitraria sequenza finita di bit. Io ti ho fatto vedere la computazione, bit per bit, per farti notare che il tuo automa non rispetta le specifiche.

Per quanto riguarda l'implementazione, il procedimento che ho mostrato nel caso dell'ascensore non è appropriato in questo caso. Poiché quest'esercizio mette in luce il secondo punto di forza degli automi a stati finiti, ossia la capacità di riconoscere linguaggi formali... Il metodo esatto per implementare questo tipo di DFA e partire da delle espressioni regolari e trasformarle in DFA passando per NFA, Comunque questo procedimento è laborioso, in un semplice esercizio come questo è possibile tracciare il graffo anche ad'intuito!

Una volta tracciato fai delle prove con delle stringhe a tua scelta per vedere se rispetta le specifiche...

D.
Avatar utente
Foto UtenteDanteCpp
4.730 3 9 13
Master EY
Master EY
 
Messaggi: 1106
Iscritto il: 15 dic 2011, 18:51

0
voti

[24] Re: Diagramma degli stati

Messaggioda Foto UtenteShika93 » 14 feb 2014, 22:01

DanteCpp ha scritto:Bé tu dovresti creare un graffo più generale possibile, che sia in grado di riconoscere 001 e 010 in un'arbitraria sequenza finita di bit. Io ti ho fatto vedere la computazione, bit per bit, per farti notare che il tuo automa non rispetta le specifiche.

Esattamente quello che pensavo. Però io, vedendo l'esempio che ho sulle slide (post [11]), mi verrebbe da fare una cosa simile che però voi mi dite che lo faccio sbagliato.



A questo punto se è ancora sbagliato, non saprei come farlo.
Avatar utente
Foto UtenteShika93
282 1 5 7
Expert
Expert
 
Messaggi: 848
Iscritto il: 30 dic 2013, 21:28

0
voti

[25] Re: Diagramma degli stati

Messaggioda Foto UtenteDanteCpp » 14 feb 2014, 22:14

L'esempio nella dispensa è un'esercizio molto più banale, non ti puoi basare su quello per risolvere il corrente...

Comunque se non riesci ad'intuire da te, che quest'automa non funziona come dovrebbe, vuol dire che non hai minimamente capito come lavorano gli automi. Se cosi fosse ti consiglio di iniziare da qualcosa di più semplice!
Avatar utente
Foto UtenteDanteCpp
4.730 3 9 13
Master EY
Master EY
 
Messaggi: 1106
Iscritto il: 15 dic 2011, 18:51

0
voti

[26] Re: Diagramma degli stati

Messaggioda Foto UtenteShika93 » 15 feb 2014, 0:58

Non ho idea di cosa fare...Le mie dispense (e libro annesso) fanno pena...Due righe su cos'è il cerchiolino e le freccette e via così. Tanta fatica per un corso talmente facile! (se serve per capire, posso anche linkare le dispense...)

Puoi dirmi come dovrebbe essere in realtà e vediamo se ci capisco qualcosa? Questo qui è un esercizio d'esame di settembre dell'anno scorso, preso dal prof in classe.
Avatar utente
Foto UtenteShika93
282 1 5 7
Expert
Expert
 
Messaggi: 848
Iscritto il: 30 dic 2013, 21:28

0
voti

[27] Re: Diagramma degli stati

Messaggioda Foto UtenteDanteCpp » 15 feb 2014, 1:09

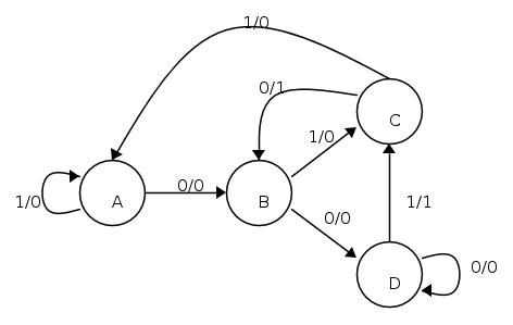
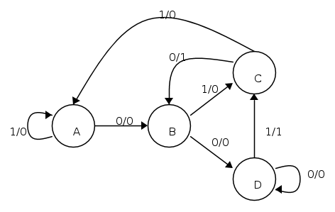
T'ho già postato la soluzione in [9] e con la correzione di c1b8 in [10] il graffo diventa:



Ops, graffo corretto alle 00:29!
Avatar utente
Foto UtenteDanteCpp
4.730 3 9 13
Master EY
Master EY
 
Messaggi: 1106
Iscritto il: 15 dic 2011, 18:51

0
voti

[28] Re: Diagramma degli stati

Messaggioda Foto UtenteShika93 » 15 feb 2014, 1:37

Ah scusa, non l'avevo capito
Beh si nettamente più leggibile dei miei scarabocchi.

Ora penso di capire...Il problema con l'ultimo che ho fatto (a parte il fatto di avere uno stato in più), stava in C che seguendo il percorso ABCE non sarei più andato da nessuna parte per riprendere la scansione.
In più, cosa che mi mancava, che posso utilizzare stati già usati per continuare la scansione invece di crearne uno nuovo.
Avatar utente
Foto UtenteShika93
282 1 5 7
Expert
Expert
 
Messaggi: 848
Iscritto il: 30 dic 2013, 21:28

Precedente

Torna a Elettronica generale

Chi c’è in linea

Visitano il forum: Majestic-12 [Bot] e 55 ospiti