No le misure in frequenza sono state ripetute anche con l'altra sonda, andavano bene, mentre quelle in dc sono state fatte con un multimetro da banco. Se non avessero dato gli stessi risultati vi avrei avvisato e avrei caricato le misure nuove.
A vedersi la sonda vecchia sembrava in regola, non aveva la vitina per la compensazione, semplicemente quando salivo in frequenza (circa oltre i 2kHz) non riuscivo più a triggerare niente, lo strumento mi segnalava che non c'era segnale in ingresso, sia col trigger manuale che con quello automatico. Non vedevo neanche la modulante che veniva direttamente dal generatore per questo ho pensato alla sonda, sul momento non mi è venuto in mente di collegare il generatore all'oscilloscopio direttamente con un coassiale e vedere se il problema era mio o della sonda, mi è venuto in mente ora mentre scrivo.
Sta di fatto che prendendo un'altra sonda riuscivo a fare le misure, con le stesse impostazioni dello strumento che avevo usato in precedenza, quindi ho lasciato perdere l'altra.
LM317 corrente pulsante
Moderatori:
carloc,
g.schgor,
BrunoValente,
IsidoroKZ
0
voti
L'altro giorno ero piuttosto di corsa, ma adesso mi sono preso un momento per ricontrollare lo schema.
Non mi piace un gran che, in effetti.
Un convertitore V-I farebbe al tuo scopo senza problemi, come consiglia
EnChamade.
Non mi piacciono nemmeno tanto le immagini dell'oscilloscopio che hai postato, dal punto di vista di ciò che rappresentano.
Potrebbero essere benissimo problemi dati dalla bread board ma anche no.(a proposito, in campo professionale non si utilizza MAI una bread board per fare prove. Al limite si utilizza una 1k fori curando bene il cablaggio oppure un wire rap)
Per ora non mi sbilancio di più, ma avrei una richiesta da farti: puoi ripetere le misure utilizzando un diodo (normale, non laser) come carico?
Ho il sospetto che possa succedere qualche cosa di brutto, ma mi chiamo Pietro e non Cassandra
Ciao,
Cass Pietro.
Non mi piace un gran che, in effetti.
Un convertitore V-I farebbe al tuo scopo senza problemi, come consiglia
Non mi piacciono nemmeno tanto le immagini dell'oscilloscopio che hai postato, dal punto di vista di ciò che rappresentano.
Potrebbero essere benissimo problemi dati dalla bread board ma anche no.(a proposito, in campo professionale non si utilizza MAI una bread board per fare prove. Al limite si utilizza una 1k fori curando bene il cablaggio oppure un wire rap)
Per ora non mi sbilancio di più, ma avrei una richiesta da farti: puoi ripetere le misure utilizzando un diodo (normale, non laser) come carico?
Ho il sospetto che possa succedere qualche cosa di brutto, ma mi chiamo Pietro e non Cassandra
Ciao,
-

PietroBaima
90,7k 7 12 13 - G.Master EY

- Messaggi: 12207
- Iscritto il: 12 ago 2012, 1:20
- Località: Londra
0
voti
Certo Pietro, le ultime schermate degli oscilloscopi sono state prese usando un led giallo prima della solita resistenza, la sonda è ai capi della resistenza (riferita a massa).
Atlant.
Behind every great man is a woman rolling her eyes.
Behind every great man is a woman rolling her eyes.
1
voti
ah, ok, meglio così, in tal caso.
Comunque forse ti conviene proseguire costruendo un convertitore V-I, oppure montando il tutto su 1k fori.
Ciao,
Pietro.
Comunque forse ti conviene proseguire costruendo un convertitore V-I, oppure montando il tutto su 1k fori.
Ciao,
Pietro.
-

PietroBaima
90,7k 7 12 13 - G.Master EY

- Messaggi: 12207
- Iscritto il: 12 ago 2012, 1:20
- Località: Londra
1
voti
spud ha scritto:si fa davvero?
LOL
sì, forse con una w in più che mi è rimasta nella tastiera
Ciao,
Pietro.
-

PietroBaima
90,7k 7 12 13 - G.Master EY

- Messaggi: 12207
- Iscritto il: 12 ago 2012, 1:20
- Località: Londra
2
voti
spud ha scritto:Si penserò a entrambe le opzioni, intanto grazie 1k a tutti per il supporto
Se decidi di proseguire per la strada del convertitore V-I, ti suggerisco la lettura del paragrafo 2.3 del Capitolo 2 di questo documento. Si tratta dello studio dinamico dell'anello di corrente che feci assieme a
Giusto pochi giorni fa ne ho costruito uno e non ho messo la compensazione per verificare se effettivamente trovavo un punto di instabilità. Bene, il sistema sopra una certa corrente aveva grossi problemi...
-

EnChamade
6.498 2 8 12 - G.Master EY

- Messaggi: 588
- Iscritto il: 18 giu 2009, 12:00
- Località: Padova - Feltre
1
voti
Ti ringrazio molto, era proprio quello che stavo cercando.
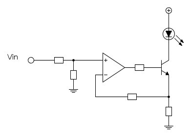
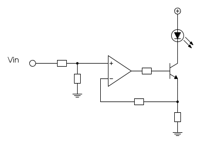
Per ora stavo facendo delle prove con un circuito semplice semplice come questo:
Leggo subito il documento che mi hai passato, grazie
Per ora stavo facendo delle prove con un circuito semplice semplice come questo:
Leggo subito il documento che mi hai passato, grazie

Atlant.
Behind every great man is a woman rolling her eyes.
Behind every great man is a woman rolling her eyes.
0
voti
Ciao
Ho montato questo circuito:
per il momento ho tralasciato il calcolo rigoroso del guadagno di anello e della compensazione ma il circuito sembra funzionare abbastanza bene.
Prendendo le misure della corrente in uscita in funzione della tensione in ingresso ho avuto quest risultato: (come carico ho usato un led giallo da 5mm che fa finta di essere il laser
)
Come linearità non c'è male, ma questo me lo aspettavo, anche se provando a simulare tutto con pspice il circuito non convergeva, devo ancora capire perché). In seguito posto alcuni screen dell'oscilloscopio.
Ho montato questo circuito:
per il momento ho tralasciato il calcolo rigoroso del guadagno di anello e della compensazione ma il circuito sembra funzionare abbastanza bene.
Prendendo le misure della corrente in uscita in funzione della tensione in ingresso ho avuto quest risultato: (come carico ho usato un led giallo da 5mm che fa finta di essere il laser
Come linearità non c'è male, ma questo me lo aspettavo, anche se provando a simulare tutto con pspice il circuito non convergeva, devo ancora capire perché). In seguito posto alcuni screen dell'oscilloscopio.
Atlant.
Behind every great man is a woman rolling her eyes.
Behind every great man is a woman rolling her eyes.
Chi c’è in linea
Visitano il forum: Nessuno e 49 ospiti

Elettrotecnica e non solo (admin)
Un gatto tra gli elettroni (IsidoroKZ)
Esperienza e simulazioni (g.schgor)
Moleskine di un idraulico (RenzoDF)
Il Blog di ElectroYou (webmaster)
Idee microcontrollate (TardoFreak)
PICcoli grandi PICMicro (Paolino)
Il blog elettrico di carloc (carloc)
DirtEYblooog (dirtydeeds)
Di tutto... un po' (jordan20)
AK47 (lillo)
Esperienze elettroniche (marco438)
Telecomunicazioni musicali (clavicordo)
Automazione ed Elettronica (gustavo)
Direttive per la sicurezza (ErnestoCappelletti)
EYnfo dall'Alaska (mir)
Apriamo il quadro! (attilio)
H7-25 (asdf)
Passione Elettrica (massimob)
Elettroni a spasso (guidob)
Bloguerra (guerra)
pigreco]=π
