Ciao a tutti!
Qualcuno saprebbe aiutarmi con il terzo punto di questo esame? Per trovare la frequenza di risonanza avevo pensato di calcolarmi la derivata della fdt rispetto a s e poi annullarla. Ma non mi tornano i calcoli. Per le altre domande del terzo punto non saprei propiro...
pulsazione risonanza circuito
Moderatori:
carloc,
g.schgor,
BrunoValente,
IsidoroKZ
14 messaggi
• Pagina 1 di 2 • 1, 2
0
voti
a) Puoi dirci cosa hai calcolato per i punti [1] e [2] ?
b) In che senso non ti tornano i calcoli ?
Grazie
BTW a Udine, se usassero FidoCadJ, riuscirebbero di certo a fare schemi migliori; quell'induttore è ancora piu' brutto di quello del politecnico
===========================================================
Edit ... meglio mi prenda avanti col lavoro
punto 1
basta osservare che L e C non intervengono nella polarizzazione in continua e quindi IR=IG e di conseguenza


punto 2
troviamo i parametri differenziali r e di g derivando le caratteristiche dei bipoli e troviamo
![r=\left[ \frac{dV_{R}}{dI_{R}} \right]_{I_{R}=\frac{1}{40}10^{-3}}=\frac{50}{\sqrt{I_{R}}}=10\,\text{k}\Omega r=\left[ \frac{dV_{R}}{dI_{R}} \right]_{I_{R}=\frac{1}{40}10^{-3}}=\frac{50}{\sqrt{I_{R}}}=10\,\text{k}\Omega](/forum/latexrender/pictures/91861ff17e3d18d4cbdbd5f36aefd83e.png)
![g=\left[ \frac{dI_{G}}{dV_{G}} \right]_{V_{G}=\frac{1}{2}}=2\times 10^{-4}V_{G}=0,1\,\text{mS} g=\left[ \frac{dI_{G}}{dV_{G}} \right]_{V_{G}=\frac{1}{2}}=2\times 10^{-4}V_{G}=0,1\,\text{mS}](/forum/latexrender/pictures/7e460e8b9c51476d3d9a350328be695a.png)
.... e ora aspettiamo Hutch ... che ovviamente è sparito ...
"Il circuito ha sempre ragione" (Luigi Malesani)
0
voti
Ci sono almeno 5 o 6 frequenze che potresti spacciare come frequenza di risonanza, dipende da che cosa vi hanno detto a lezione.
1) Scrivi la funzione di trasferimento con un denominatore in questa forma:
e dal termine in s quadro ricavi omega n che e` la frequenza dei due poli CC.
2) Calcola la posizione dei due poli, parte reale e parte immaginaria. La parte immaginaria dei poli e` omega d, cioe` la frequenza di ringing che vedresti se eccitassi il circuito con un impulso o un gradino. Questa frequenza e` piu` bassa della precedente,
3) Calcola il massimo del modulo della funzione di trasferimento in omega, derivala rispetto a omega e trova il massimo omega pk. Questo e` la frequenza del picco di risonanza, ancora piu` basso del precedente. Per questo calcolo devi sostituire a s jw, trovare il modulo e derivare. Non puoi derivare rispetto a s, e` una variabile complessa!
Queste tre frequenze sono illustrate nella splendida figura fatta dal solito RenzoDF.

4) Trova il valore di omega per cui l'impedenza vista dal generatore di tensione e` reale
5) Trova il valore di omega per cui l'impedenza di uscita del circuito e` reale (ed e` diversa da prima)
6) Trova il valore di omega per cui la funzione di trasferimento e` reale.
Nel tuo caso specifico, usando i valori trovati da RenzoDF, che confermo, a me vengono due poli reali e distinti
e secondo me non ha senso cercare frequenze di risonanza con poli reali!
(e poi sono sempre perplesso di una induttanza di 1nH in serie a qualunque cosa! 1mm di filo piccolo ha una induttanza (parziale) dalle parti di 1nH!)
1) Scrivi la funzione di trasferimento con un denominatore in questa forma:
e dal termine in s quadro ricavi omega n che e` la frequenza dei due poli CC.2) Calcola la posizione dei due poli, parte reale e parte immaginaria. La parte immaginaria dei poli e` omega d, cioe` la frequenza di ringing che vedresti se eccitassi il circuito con un impulso o un gradino. Questa frequenza e` piu` bassa della precedente,
3) Calcola il massimo del modulo della funzione di trasferimento in omega, derivala rispetto a omega e trova il massimo omega pk. Questo e` la frequenza del picco di risonanza, ancora piu` basso del precedente. Per questo calcolo devi sostituire a s jw, trovare il modulo e derivare. Non puoi derivare rispetto a s, e` una variabile complessa!
Queste tre frequenze sono illustrate nella splendida figura fatta dal solito RenzoDF.
4) Trova il valore di omega per cui l'impedenza vista dal generatore di tensione e` reale
5) Trova il valore di omega per cui l'impedenza di uscita del circuito e` reale (ed e` diversa da prima)
6) Trova il valore di omega per cui la funzione di trasferimento e` reale.
Nel tuo caso specifico, usando i valori trovati da RenzoDF, che confermo, a me vengono due poli reali e distinti
(e poi sono sempre perplesso di una induttanza di 1nH in serie a qualunque cosa! 1mm di filo piccolo ha una induttanza (parziale) dalle parti di 1nH!)
Per usare proficuamente un simulatore, bisogna sapere molta più elettronica di lui
Plug it in - it works better!
Il 555 sta all'elettronica come Arduino all'informatica! (entrambi loro malgrado)
Se volete risposte rispondete a tutte le mie domande
Plug it in - it works better!
Il 555 sta all'elettronica come Arduino all'informatica! (entrambi loro malgrado)
Se volete risposte rispondete a tutte le mie domande
0
voti
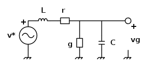
Concludiamo col terzo punto
L'impedenza vista dal generatore v* è pari a

e la frequenza di risonanza, direi di calcolarla ponendo pari a zero la parte immaginaria di Z

e la tensione vc con un partitore di tensione

dai miei calcoli i 2 poli reali dovrebbero essere prossimi a
e a
rad/s
ma lascio all'interessato il calcolo dei valori numerici e discussioni varie !
BTW rimango anch'io perplesso dai valori numerici della rete, che se dal punto di vista teorico ci possono pure stare, dal punto di vista pratico (che dovrebbe sempre essere tenuto in considerazione in un problema d'esame) sono assolutamente irrealistici
L'impedenza vista dal generatore v* è pari a

e la frequenza di risonanza, direi di calcolarla ponendo pari a zero la parte immaginaria di Z

e la tensione vc con un partitore di tensione

dai miei calcoli i 2 poli reali dovrebbero essere prossimi a
e a
rad/s ma lascio all'interessato il calcolo dei valori numerici e discussioni varie !
BTW rimango anch'io perplesso dai valori numerici della rete, che se dal punto di vista teorico ci possono pure stare, dal punto di vista pratico (che dovrebbe sempre essere tenuto in considerazione in un problema d'esame) sono assolutamente irrealistici
"Il circuito ha sempre ragione" (Luigi Malesani)
0
voti
Ci sono ci sono....Solo che ho il router fuori uso e mi tocca usare internet fuori casa:(
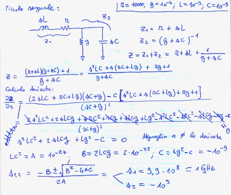
Ho allegato i miei calcoli, che in effetti,come dice Isidoro, sono sbagliati perché ho derivato rispetto a S e non ha senso. Quindi devo annullare la componente reattiva dell'impedenza, ovvero la parte con coeff immaginario. Giusto! Ora mi metto a svolgere e cercare di capire le formule che mi avete fornito. Grazie mille a tutti!
P.S. Renzo pensa che questo schema non è nemmeno male, una volta li facevano con Paint!
Edit TF: te l' ho ridimensionato e reso piu' leggibile.
Ho allegato i miei calcoli, che in effetti,come dice Isidoro, sono sbagliati perché ho derivato rispetto a S e non ha senso. Quindi devo annullare la componente reattiva dell'impedenza, ovvero la parte con coeff immaginario. Giusto! Ora mi metto a svolgere e cercare di capire le formule che mi avete fornito. Grazie mille a tutti!
P.S. Renzo pensa che questo schema non è nemmeno male, una volta li facevano con Paint!
Edit TF: te l' ho ridimensionato e reso piu' leggibile.
0
voti
ok missà che nn capisco bene come funziona questo forum... chi è che ha editato l'allegato? il gestore del sito?
0
voti
Sono stato io. Ho preso la tua immagina da 3500 punti di lunghezza, l' ho ridotta ad un' altezza di 640 pixel e ne ho ritagliato solo la parte scritta. Poi, visto che si vedeva pochissimo, ne ho aumentato il contrasto e la saturazione del colore.
La prossima volta inserisci immagini max 640 x 480. E buona cosa sarebbe ritagliare bordi e parti non utili.
La prossima volta inserisci immagini max 640 x 480. E buona cosa sarebbe ritagliare bordi e parti non utili.
"La follia sta nel fare sempre la stessa cosa aspettandosi risultati diversi".
"Parla soltanto quando sei sicuro che quello che dirai è più bello del silenzio".
Rispondere è cortesia, ma lasciare l'ultima parola ai cretini è arte.
"Parla soltanto quando sei sicuro che quello che dirai è più bello del silenzio".
Rispondere è cortesia, ma lasciare l'ultima parola ai cretini è arte.
-

TardoFreak
73,9k 8 12 13 - -EY Legend-

- Messaggi: 15754
- Iscritto il: 16 dic 2009, 11:10
- Località: Torino - 3° pianeta del Sistema Solare
0
voti
Ok! Grazie!! Ma io volevo allegarla come file, non pensavo che la si vedesse sulla pagina del sito...Un'altra cosa nuova imparata!
0
voti
Ok ritorno a rompervi le scatole con questo esercizio. In questi giorni l'ho rivisto e non sono ancora soddisfatto.
Sempre il 3°punto.. Quando si chiede di calcolare l'ampiezza di vc alla pulsazione di risonanza, direi che sarebbe corretto prendere la formula ricavata per una pulsazione generica (scritta sopra da RenzoDF, tramite partitore di tensione), e sostituire a omega l'omega r di risonanza (sempre quella presentata sopra nel post di Renzo). Così facendo io ottengo un valore di vc=9.99999*10^-8 volt. Il ragionamento è esatto? Ebbene nella soluzione di questo compito si afferma che alla pulsazione di risonanza abbiamo vg=v*/(1+rg)=0.5 mV. Il che, mi pare, equivale al valore di vg che otterrei se nel circuito l'induttore fosse un corto e il capacitore un aperto. Il che credo sia come dire che la pulsazione di risonanza è zero. Il mio ragionamento fa acqua da tutte le parti, oppure la soluzione fornitami è inesatta?
Stavo anche osservando i grafici di Renzo. Ho provato a farli anche io, ma non ci riesco. Con PSpice non riesco a plottare la fdt, nel senso che su schematics vado nel menu analysis, quindi setup. Schiaccio su transfer function e do i parametri che mi chiede. Poi quando avvio la simulazione, appare un grafico vuoto. Allora ho provato a simulare un acsweep, prelevando la tensione ai capi del condensatore. Dovrebbe essere lo stesso, no? Forse no, dato che il grafico mi viene diverso...Ho anche provato a plottare la fdt con Matlab, e direi che stavolta mi riesce. Ho allegato il grafico, in blu.
Ultimo dubbio: sempre usando Matlab, ho provato a plottare anche l'impedenza totale in funzione della frequenza. Cioè ho calcolato l'impedenza vista ai capi del circuito, dove sta la v*, e l'ho scritta come rapporto fra polinomi. Quindi l'ho inserita in matlab usando il comando tf. Quindi plot. Da quello che ho capito, alla pulsazione di risonanza l'impedenza dovrebbe essere minima, giusto? Ma dal grafico che ho ottenuto (allegato, in rosso), come si fa a dire con esattezza a quale pulsazione l'impedenza è minima?
Ringrazio fin da subito chi mi vorrà aiutare, e spero di non aver fatto un casino o sparato troppe scemenze:)
Sempre il 3°punto.. Quando si chiede di calcolare l'ampiezza di vc alla pulsazione di risonanza, direi che sarebbe corretto prendere la formula ricavata per una pulsazione generica (scritta sopra da RenzoDF, tramite partitore di tensione), e sostituire a omega l'omega r di risonanza (sempre quella presentata sopra nel post di Renzo). Così facendo io ottengo un valore di vc=9.99999*10^-8 volt. Il ragionamento è esatto? Ebbene nella soluzione di questo compito si afferma che alla pulsazione di risonanza abbiamo vg=v*/(1+rg)=0.5 mV. Il che, mi pare, equivale al valore di vg che otterrei se nel circuito l'induttore fosse un corto e il capacitore un aperto. Il che credo sia come dire che la pulsazione di risonanza è zero. Il mio ragionamento fa acqua da tutte le parti, oppure la soluzione fornitami è inesatta?
Stavo anche osservando i grafici di Renzo. Ho provato a farli anche io, ma non ci riesco. Con PSpice non riesco a plottare la fdt, nel senso che su schematics vado nel menu analysis, quindi setup. Schiaccio su transfer function e do i parametri che mi chiede. Poi quando avvio la simulazione, appare un grafico vuoto. Allora ho provato a simulare un acsweep, prelevando la tensione ai capi del condensatore. Dovrebbe essere lo stesso, no? Forse no, dato che il grafico mi viene diverso...Ho anche provato a plottare la fdt con Matlab, e direi che stavolta mi riesce. Ho allegato il grafico, in blu.
Ultimo dubbio: sempre usando Matlab, ho provato a plottare anche l'impedenza totale in funzione della frequenza. Cioè ho calcolato l'impedenza vista ai capi del circuito, dove sta la v*, e l'ho scritta come rapporto fra polinomi. Quindi l'ho inserita in matlab usando il comando tf. Quindi plot. Da quello che ho capito, alla pulsazione di risonanza l'impedenza dovrebbe essere minima, giusto? Ma dal grafico che ho ottenuto (allegato, in rosso), come si fa a dire con esattezza a quale pulsazione l'impedenza è minima?
Ringrazio fin da subito chi mi vorrà aiutare, e spero di non aver fatto un casino o sparato troppe scemenze:)
14 messaggi
• Pagina 1 di 2 • 1, 2
Chi c’è in linea
Visitano il forum: Nessuno e 44 ospiti

Elettrotecnica e non solo (admin)
Un gatto tra gli elettroni (IsidoroKZ)
Esperienza e simulazioni (g.schgor)
Moleskine di un idraulico (RenzoDF)
Il Blog di ElectroYou (webmaster)
Idee microcontrollate (TardoFreak)
PICcoli grandi PICMicro (Paolino)
Il blog elettrico di carloc (carloc)
DirtEYblooog (dirtydeeds)
Di tutto... un po' (jordan20)
AK47 (lillo)
Esperienze elettroniche (marco438)
Telecomunicazioni musicali (clavicordo)
Automazione ed Elettronica (gustavo)
Direttive per la sicurezza (ErnestoCappelletti)
EYnfo dall'Alaska (mir)
Apriamo il quadro! (attilio)
H7-25 (asdf)
Passione Elettrica (massimob)
Elettroni a spasso (guidob)
Bloguerra (guerra)



