Cos'è ElectroYou | Login Iscriviti

ElectroYou - la comunità dei professionisti del mondo elettrico

Partitore e corrente assorbita

Elettronica lineare e digitale: didattica ed applicazioni

Moderatori: Foto Utentecarloc, Foto Utenteg.schgor, Foto UtenteBrunoValente, Foto UtenteIsidoroKZ

0
voti

[1] Partitore e corrente assorbita

Messaggioda Foto Utenteandre29 » 7 mar 2021, 12:22

Ciao a tutti,
ho un problema con il circuito in allegato che mi sono fatto ma non riesco a trovare la quadra.
Ho un componente alimentato con la 3V3 sul pin principale di VCC (tramite un regolatore). Per mantenere le impostazioni ha bisogno di una batteria tampone o una fonte di energia sul pin V_Backup quando il tutto è spento.

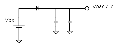
La fonte di energia di tutta la scheda è una batteria da 3,7V. In allegato c'è la parte di circuito collegata al pin di V_Backup per non perdere le impostazioni una volta tolta la 3V3.
A datasheet la corrente assorbita sul pin dovrebbe essere 40uA.

Misurando la tensione V_Backup non capisco perché quando stacco la 3V3 la tensione su questo pin cala lentamente fino a 1,1V in circa 55s (inizialmente è 3,2V). Una volta arrivata a 1,1V sale di nuovo fino a 3,05V in 13s. Che dovrebbe essere la tensione data da partitore - la caduta dello zener.
perché la tensione si abbassa fino a 1,1V? ( :roll:) ; Mi aspetto che rimanga a 3,05V.
Allegati
V_backup.JPG
Avatar utente
Foto Utenteandre29
68 1 2 7
Frequentatore
Frequentatore
 
Messaggi: 267
Iscritto il: 26 apr 2015, 9:57

0
voti

[2] Re: Partitore e corrente assorbita

Messaggioda Foto Utentegill90 » 7 mar 2021, 13:32

Dovresti postare anche delle informazioni su ciò che è collegato al pin V_{backup} e su eventuali circuiterie esterne al tuo schema.

A ogni modo, perché utilizzi uno zener in quella configurazione? In questo modo opera semplicemente da diodo in diretta (e lo schema non è nemmeno del tutto corretto).


EDIT: forse ho capito... Il diodo è per caso uno Schottky?
Avatar utente
Foto Utentegill90
4.146 3 7 12
G.Master EY
G.Master EY
 
Messaggi: 1134
Iscritto il: 1 set 2011, 16:18

0
voti

[3] Re: Partitore e corrente assorbita

Messaggioda Foto Utenteandre29 » 7 mar 2021, 13:50

Si, il diodi è uno Schottky. Sul pin V_backup non c'è collegato altro. E' il PIN di un modulo GPS della Ublox. Cosa vedi di sbagliato nello schema?
Per lo zener ci devo pensare un attimo.
Grazie
Avatar utente
Foto Utenteandre29
68 1 2 7
Frequentatore
Frequentatore
 
Messaggi: 267
Iscritto il: 26 apr 2015, 9:57

0
voti

[4] Re: Partitore e corrente assorbita

Messaggioda Foto Utentegill90 » 7 mar 2021, 14:52

Così a pelle ti direi che quella resistenza da 330 limita la corrente che può erogare la tua batteria, per cui se non hai bisogno di una tensione precisa puoi semplicemente metterci un diodo comune senza partitore:



In questo modo ti ritroveresti comunque una tensione intorno ai 3.2V sul pin di backup, che suppongo ti vada bene lo stesso.
Prova così e vedi se il risultato cambia.
Avatar utente
Foto Utentegill90
4.146 3 7 12
G.Master EY
G.Master EY
 
Messaggi: 1134
Iscritto il: 1 set 2011, 16:18

0
voti

[5] Re: Partitore e corrente assorbita

Messaggioda Foto Utenteandre29 » 7 mar 2021, 15:54

Ci avevo pensato anch'io ma il problema è che la tensione massima ammissibile sul pin e di 3,4V se non ricordo male. Quando la batteria è sotto carica la tensione va a 4.2V che andrei fuori specifica. Per quello ho aggiunto il partitore dato che dovrebbe consumare 40 uA
Avatar utente
Foto Utenteandre29
68 1 2 7
Frequentatore
Frequentatore
 
Messaggi: 267
Iscritto il: 26 apr 2015, 9:57

1
voti

[6] Re: Partitore e corrente assorbita

Messaggioda Foto Utentegill90 » 7 mar 2021, 23:54

Mi sembra come se il componente, in assenza di 3V3 esterna, assorbisse più corrente da V_{backup} di quella che la tua batteria può erogare (con la configurazione da te indicata).
Riesci a linkare il datasheet del modulo?

andre29 ha scritto:Quando la batteria è sotto carica la tensione va a 4.2V che andrei fuori specifica

A questo allora devi aggiungere pure qual è il range di funzionamento che vuoi avere.
Comunque secondo me quel pin non assorbe solo 40uA, altrimenti non si spiega.
Avatar utente
Foto Utentegill90
4.146 3 7 12
G.Master EY
G.Master EY
 
Messaggi: 1134
Iscritto il: 1 set 2011, 16:18

0
voti

[7] Re: Partitore e corrente assorbita

Messaggioda Foto Utenteandre29 » 8 mar 2021, 9:20

gill90 ha scritto:Mi sembra come se il componente, in assenza di 3V3 esterna, assorbisse più corrente da V_{backup} di quella che la tua batteria può erogare (con la configurazione da te indicata).
Riesci a linkare il datasheet del modulo?

andre29 ha scritto: Comunque secondo me quel pin non assorbe solo 40uA, altrimenti non si spiega.


Ecco il link
https://www.u-blox.com/sites/default/files/products/documents/NEO-7_DataSheet_%28UBX-13003830%29.pdf

Anch'io non mi spego. Ho creato il post perché mi sono venuti dei dubbi su quello che ho fatto. Penso anch'io che su quel pin l'assorbimento sia maggiore di quello dichiarato, perlomeno all'inizio, poi si assesta.

Il modulo non è stato acquistato da un canale "ufficiale" ma non penso sia un fake, perché riesco a comunicare e a programmarlo con il suo tool della casa ufficiale.
Avatar utente
Foto Utenteandre29
68 1 2 7
Frequentatore
Frequentatore
 
Messaggi: 267
Iscritto il: 26 apr 2015, 9:57

0
voti

[8] Re: Partitore e corrente assorbita

Messaggioda Foto Utenteluxinterior » 8 mar 2021, 9:37

Quando lo spegni hai scollegato tutto o c'è qualcosa conesso al modulo che resta alimentato ? (Ad esempio una porta seriale che dall'altra parte resta alimentata). Considera che ci sono dei diodi di clamp sui pin dell integrato e che togliendo alimentazione possono creare dei percorsi per portare tensione in giro. Quando sei in backup sulla 3.3V che tensione vedi durante il transitorio che hai descritto.
Avatar utente
Foto Utenteluxinterior
4.311 3 4 9
Master EY
Master EY
 
Messaggi: 2690
Iscritto il: 6 gen 2016, 17:48

0
voti

[9] Re: Partitore e corrente assorbita

Messaggioda Foto Utenteandre29 » 8 mar 2021, 10:07

Spengo a monte del regolatore del 3V3. Quindi tutti i dispositivi sono spenti. Ad ogni modo questa sera provo a controllare la tensione sul 3V3 quando spengo.
Avatar utente
Foto Utenteandre29
68 1 2 7
Frequentatore
Frequentatore
 
Messaggi: 267
Iscritto il: 26 apr 2015, 9:57

0
voti

[10] Re: Partitore e corrente assorbita

Messaggioda Foto Utentegill90 » 8 mar 2021, 11:44

Fai anche questa prova: prendi una batteria mediamente carica (3.8V o 4V) e prova ad usare il circuito con il diodo semplice. In questo modo riusciamo a capire se è un problema di assorbimento anomalo di Vbckp e ci inventiamo un'alternativa.
Avatar utente
Foto Utentegill90
4.146 3 7 12
G.Master EY
G.Master EY
 
Messaggi: 1134
Iscritto il: 1 set 2011, 16:18

Prossimo

Torna a Elettronica generale

Chi c’è in linea

Visitano il forum: Google Adsense [Bot] e 42 ospiti