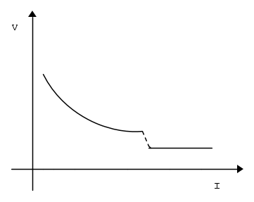
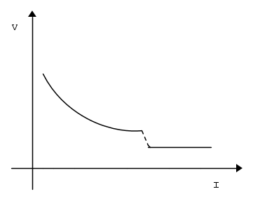
In pratica uno zener limita la tensione, uno zener duale limita la corrente.
Vedi che dualizzare le cose torna utile?
Adesso provo a dualizzare il gatto
Moderatori:
g.schgor,
IsidoroKZ




Sammuele ha scritto:con le tasse come funziona ? :)


Torna a Elettrotecnica generale
Visitano il forum: Nessuno e 39 ospiti