Cos'è ElectroYou | Login Iscriviti

ElectroYou - la comunità dei professionisti del mondo elettrico

Software tina

Circuiti, campi elettromagnetici e teoria delle linee di trasmissione e distribuzione dell’energia elettrica

Moderatori: Foto Utenteg.schgor, Foto UtenteIsidoroKZ

0
voti

[21] Re: Software tina

Messaggioda Foto UtenteRenzoDF » 26 ott 2010, 10:19

... nell'attesa delle tue risposte, posto la simulazione del trifase.

2010-10-26_095518.gif
2010-10-26_095518.gif (21.83 KiB) Osservato 4670 volte

ma per un problema di quel tipo, ovvero per un sistema simmetrico equilibrato, non valeva la pena scomodare una simulazione ... bastavano quatto calcoli con SpeQ ;-)
2010-10-26_095646.gif
2010-10-26_095646.gif (17.5 KiB) Osservato 4669 volte


BTW come ti dicevo avrei diversi "appunti" da fare sia a proposito dei termini usati sia alle richieste del testo :mrgreen:
"Il circuito ha sempre ragione" (Luigi Malesani)
Avatar utente
Foto UtenteRenzoDF
55,9k 8 12 13
G.Master EY
G.Master EY
 
Messaggi: 13189
Iscritto il: 4 ott 2008, 9:55

0
voti

[22] Re: Software tina

Messaggioda Foto UtenteAndreaBB » 26 ott 2010, 17:48

studio ingegneria gestionale a bergamo
arrivano dai vecchi esami di elettrotecnica
e l'autore è il mio prof. angelo baggini
Avatar utente
Foto UtenteAndreaBB
-2 2
 
Messaggi: 17
Iscritto il: 21 ott 2010, 16:32

0
voti

[23] Re: Software tina

Messaggioda Foto UtenteRenzoDF » 26 ott 2010, 18:06

AndreaBB ha scritto: ... e l'autore è il mio prof. angelo baggini

:shock: ... sei sicuro ? ... mi sembra impossibile che delle domande così assurde sulla potenza le abbia fatte Lui [-X
"Il circuito ha sempre ragione" (Luigi Malesani)
Avatar utente
Foto UtenteRenzoDF
55,9k 8 12 13
G.Master EY
G.Master EY
 
Messaggi: 13189
Iscritto il: 4 ott 2008, 9:55

0
voti

[24] Re: Software tina

Messaggioda Foto UtenteAndreaBB » 26 ott 2010, 18:08

sicuro no perché lui è il titolare del corso
e probabilmente gli esercizi li potrebbe scrivere l'esercitatore
Avatar utente
Foto UtenteAndreaBB
-2 2
 
Messaggi: 17
Iscritto il: 21 ott 2010, 16:32

0
voti

[25] Re: Software tina

Messaggioda Foto UtenteRenzoDF » 26 ott 2010, 18:11

AndreaBB ha scritto:sicuro no perché lui è il titolare del corso
e probabilmente gli esercizi li potrebbe scrivere l'esercitatore


sono certo che sia così ! ... come si fa a parlare di "modulo" di una potenza apparente ... e anche se non scritto esplicitamente di quella attiva :?:
Incredibbile :mrgreen:
"Il circuito ha sempre ragione" (Luigi Malesani)
Avatar utente
Foto UtenteRenzoDF
55,9k 8 12 13
G.Master EY
G.Master EY
 
Messaggi: 13189
Iscritto il: 4 ott 2008, 9:55

0
voti

[26] Re: Software tina

Messaggioda Foto UtenteAndreaBB » 26 ott 2010, 18:15

eheh
comunque grazie per i vari aiuti perché almeno ora stò capendo qualcosa in più di questa elettrotecnica :D
Avatar utente
Foto UtenteAndreaBB
-2 2
 
Messaggi: 17
Iscritto il: 21 ott 2010, 16:32

0
voti

[27] Re: Software tina

Messaggioda Foto UtenteRenzoDF » 26 ott 2010, 18:19

AndreaBB ha scritto:eheh
comunque grazie per i vari aiuti perché almeno ora stò capendo qualcosa in più di questa elettrotecnica :D


Vedo purtroppo che non hai provato a fare personalmente l'esercizio trifase con Tina, ...troppa fatica ?

e che nemmeno mi hai chiesto delucidazioni sul perché io abbia modificato lo schema :D
"Il circuito ha sempre ragione" (Luigi Malesani)
Avatar utente
Foto UtenteRenzoDF
55,9k 8 12 13
G.Master EY
G.Master EY
 
Messaggi: 13189
Iscritto il: 4 ott 2008, 9:55

0
voti

[28] Re: Software tina

Messaggioda Foto UtenteAndreaBB » 26 ott 2010, 18:25

nella zona dove si forma un triangolo con generatori di corrente hai cambiato forma allo schema...
in tina non riesco a mettere linee oblique...
A breve proverò a rifarlo con questo schema e ti dirò
Avatar utente
Foto UtenteAndreaBB
-2 2
 
Messaggi: 17
Iscritto il: 21 ott 2010, 16:32

0
voti

[29] Re: Software tina

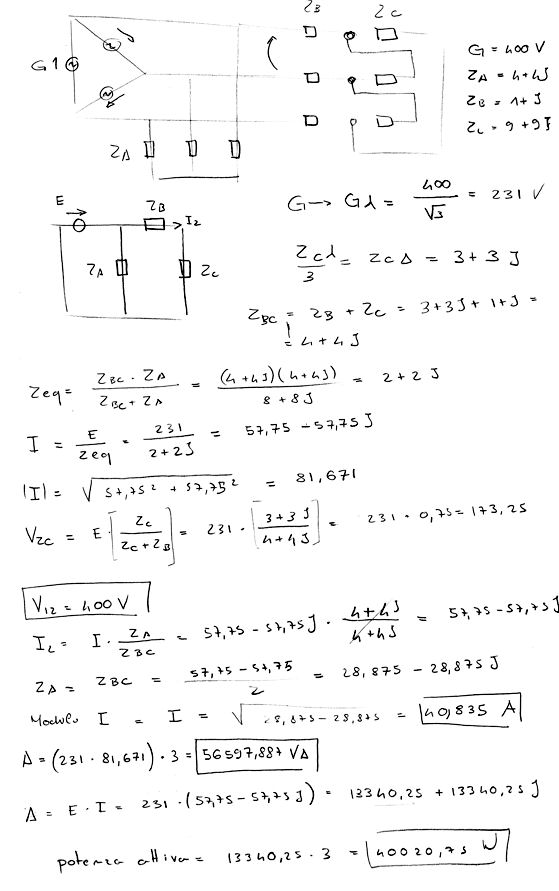
Messaggioda Foto UtenteAndreaBB » 28 ott 2010, 16:22

Con tina non sono riuscito
forse a mano qualcosa ho fatto
Allegati
EXE.jpg
EXE.jpg (68.54 KiB) Osservato 4525 volte
Avatar utente
Foto UtenteAndreaBB
-2 2
 
Messaggi: 17
Iscritto il: 21 ott 2010, 16:32

0
voti

[30] Re: Software tina

Messaggioda Foto UtenteRenzoDF » 29 ott 2010, 21:02

AndreaBB ha scritto:Con tina non sono riuscito ...
forse a mano qualcosa ho fatto


Lo immaginavo, ma mi aspettavo un paio di domande sui messaggi di errore che hai ricevuto :D

Due commenti

a) per la potenza complessa A non puoi fare un semplice E*I ... e ritoccare il risultato! :mrgreen:

b) cosa voglia dire quella potenza attiva di 40kW ... lo sa solo il tuo professore :D

Da quando frequento EP, confesso che ormai mi sono rassegnato, ma quando vedo questi problemi e questi risultati mi chiedo, quanto stupiti rimarrete quando come ingegneri scenderete nel "mondo reale" ... e scoprirete che quaggiu' i valori massimi non si usano proprio ... anzi direi che se io dovessi selezionare un ingegnere che mi calcola la potenza attiva e reattiva in quel modo ... non lo assumerei proprio :!: :mrgreen:
"Il circuito ha sempre ragione" (Luigi Malesani)
Avatar utente
Foto UtenteRenzoDF
55,9k 8 12 13
G.Master EY
G.Master EY
 
Messaggi: 13189
Iscritto il: 4 ott 2008, 9:55

PrecedenteProssimo

Torna a Elettrotecnica generale

Chi c’è in linea

Visitano il forum: Nessuno e 12 ospiti