Cos'è ElectroYou | Login Iscriviti

ElectroYou - la comunità dei professionisti del mondo elettrico

finale amplificatore per generatore di funzioni

Circuiti, campi elettromagnetici e teoria delle linee di trasmissione e distribuzione dell’energia elettrica

Moderatori: Foto Utenteg.schgor, Foto UtenteIsidoroKZ

0
voti

[31] Re: finale amplificatore per generatore di funzioni

Messaggioda Foto Utentewimatech » 8 apr 2022, 10:00

Piccolo aggiornamento,
Ieri sera ho fatto un piccolo stress test con l'MCP4725

Questo il codice di test:
Codice: Seleziona tutto
void loop() {


  int deg=0;
  float fdeg=0.0;
  float rad=0.0;
  float sen=0.0;
  float VF=0.0;
 
  while(true){
    for (deg=0;deg<3600;deg+=3){
      fdeg=float(deg)/10.0;
      rad=(deg/180.0)*PI;
      sen=sin(rad);
      VF=(sen*2047.5)+2047.5;       
      dac.setVoltage(int(VF), false);
      delayMicroseconds(pausa);
    }
  }
}


Ho scelto uno step di 0.3 gradi a seguito di questo calcolo spannometrico:
"Considerando un alimentazione duale +/-30V quindi un escursione di 60Vpp, ho diviso approssimando in 600 punti 60/600=0.1V moltiplicato per 2 semionde 600*2=1200 quindi divido l'angolo giro 360/1200=0.3"

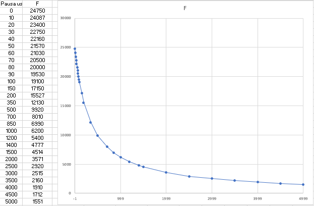
Ho ritoccato varie volte la pausa ed ho estrapolato un grafico leggendo la freq in uscita con oscilloscopio:
Immagine 2022-04-08 094953.png


un immagine del segnale in uscita:
WhatsApp Image 2022-04-08 at 09.52.45.jpeg


In teoria oggi mi consegnano anche l'AD9833 poi proverò anche quello
Avatar utente
Foto Utentewimatech
50 2 7
Frequentatore
Frequentatore
 
Messaggi: 240
Iscritto il: 24 feb 2022, 9:34

0
voti

[32] Re: finale amplificatore per generatore di funzioni

Messaggioda Foto Utenteboiler » 12 apr 2022, 17:43

Il problema è che per la natura di un microcontroller e della trasmissione I2C, quell'intervallo tra due punti non sarà costante, ma affetto da un certo jitter.

Visto che il passo tra due punti è breve e che generi una sinusoide, probabilmente non disturba e non te ne accorgi nemmeno.

Però questo è il motivo per cui non consiglio un DAC via I2C usato come generatore di segnali.

Boiler
Avatar utente
Foto Utenteboiler
26,4k 5 9 13
G.Master EY
G.Master EY
 
Messaggi: 5602
Iscritto il: 9 nov 2011, 12:27

0
voti

[33] Re: finale amplificatore per generatore di funzioni

Messaggioda Foto Utentelelerelele » 12 apr 2022, 18:25

Hai notato la parte destra dell'onda? non è stabile, ha un leggero spostamnto di frequenza, difetto del circuito o dell'oscilloscopio.

Si potrebbe pensare che sia cosa da poco, ma vista il problema su una singola onda, non è poco. Prova a scansionare un periodo molto più lungo, e vedi alla fine della scansione come si comporta.


saluti.
Avatar utente
Foto Utentelelerelele
4.899 3 7 9
Master
Master
 
Messaggi: 5505
Iscritto il: 8 giu 2011, 8:57
Località: Reggio Emilia

0
voti

[34] Re: finale amplificatore per generatore di funzioni

Messaggioda Foto UtenteMarcoD » 12 apr 2022, 18:45

Hai notato la parte destra dell'onda? non è stabile,

Anche i valori numerici sulla destra paiono sfocati. Difetto dell'oscillo o della macchina fotografica?
Avatar utente
Foto UtenteMarcoD
12,2k 5 9 13
Master EY
Master EY
 
Messaggi: 6696
Iscritto il: 9 lug 2015, 16:58
Località: Torino

0
voti

[35] Re: finale amplificatore per generatore di funzioni

Messaggioda Foto Utentewimatech » 13 apr 2022, 7:57

foto fatta un po male si vedeve bene sull'oscilloscopio anche se attrezzo cinese
Avatar utente
Foto Utentewimatech
50 2 7
Frequentatore
Frequentatore
 
Messaggi: 240
Iscritto il: 24 feb 2022, 9:34

Precedente

Torna a Elettrotecnica generale

Chi c’è in linea

Visitano il forum: Nessuno e 83 ospiti