Esercizi nel dominio del tempo e nel dominio della frequenza

Circuiti, campi elettromagnetici e teoria delle linee di trasmissione e distribuzione dell’energia elettrica

Moderatori: Foto Utenteg.schgor, Foto UtenteIsidoroKZ

Avatar utente
Foto UtenteRenzoDF
55,9k 8 12 13
G.Master EY
G.Master EY
Messaggi: 13189
Iscritto il: 4 ott 2008, 9:55
0
voti

[51] Re: Esercizi nel dominio del tempo e nel dominio della frequenza

Messaggioda Foto UtenteRenzoDF » 21 feb 2010, 18:57

Scaricati Tina (o un qualsiasi altro FREETool di Electroportal)
http://www.electroportal.net/renzodf/wi ... Tina_Pro_6
e investici una mezz'ora :wink:

si tratta di trascinare su un foglio i simboli e collegarli avvicinando il mouse al bipolo.


Mi raccomando la versione 6 è più che sufficiente NON serve la 7 o la 8 !

ti do anche un link diretto, per non farti fare troppa fatica
http://demo.designsoft.biz/tina/TinaPro60En.exe
"Il circuito ha sempre ragione" (Luigi Malesani)

Avatar utente
Foto UtenteRenzoDF
55,9k 8 12 13
G.Master EY
G.Master EY
Messaggi: 13189
Iscritto il: 4 ott 2008, 9:55
0
voti

[52] Re: Esercizi nel dominio del tempo e nel dominio della frequenza

Messaggioda Foto UtenteRenzoDF » 21 feb 2010, 19:02

Benjamin ha scritto:si ma il problema è che non so come fare lo schema, purtroppo io faccio sempre riferimento allo schema iniziale postato già con fatica :D :( :oops:


ma se non l'hai nemmeno ritagliato :!: #-o
"Il circuito ha sempre ragione" (Luigi Malesani)

Avatar utente
Foto UtenteBenjamin
0 2
New entry
New entry
Messaggi: 54
Iscritto il: 20 feb 2010, 12:45
0
voti

[53] Re: Esercizi nel dominio del tempo e nel dominio della frequenza

Messaggioda Foto UtenteBenjamin » 21 feb 2010, 19:04

:lol: :lol: :lol: :lol: :P :P :P :oops: :oops: :oops: :oops: :oops: :mrgreen: :mrgreen: :mrgreen: :mrgreen: :mrgreen:

Avatar utente
Foto UtenteBenjamin
0 2
New entry
New entry
Messaggi: 54
Iscritto il: 20 feb 2010, 12:45
0
voti

[54] Re: Esercizi nel dominio del tempo e nel dominio della frequenza

Messaggioda Foto UtenteBenjamin » 21 feb 2010, 19:33

t=0+:

lastscan.jpg
lastscan.jpg (65.67 KiB) Visto 1676 volte

Avatar utente
Foto UtenteBenjamin
0 2
New entry
New entry
Messaggi: 54
Iscritto il: 20 feb 2010, 12:45
0
voti

[55] Re: Esercizi nel dominio del tempo e nel dominio della frequenza

Messaggioda Foto UtenteBenjamin » 21 feb 2010, 19:33

manca solo la maglia superiore perché l' interruttore si apre

Avatar utente
Foto UtenteRenzoDF
55,9k 8 12 13
G.Master EY
G.Master EY
Messaggi: 13189
Iscritto il: 4 ott 2008, 9:55
0
voti

[56] Re: Esercizi nel dominio del tempo e nel dominio della frequenza

Messaggioda Foto UtenteRenzoDF » 21 feb 2010, 19:46

Incredibile :shock: ... non hai ascoltato nessun consiglio e hai pure ripostato lo schema iniziale un-cropped [-(

Guarda come si dovrebbe fare, usando per esempio Mdraw in 2 min e 12 s (in Tina è ancora più semplice)

rete_1.jpg
rete_1.jpg (18.35 KiB) Visto 1663 volte

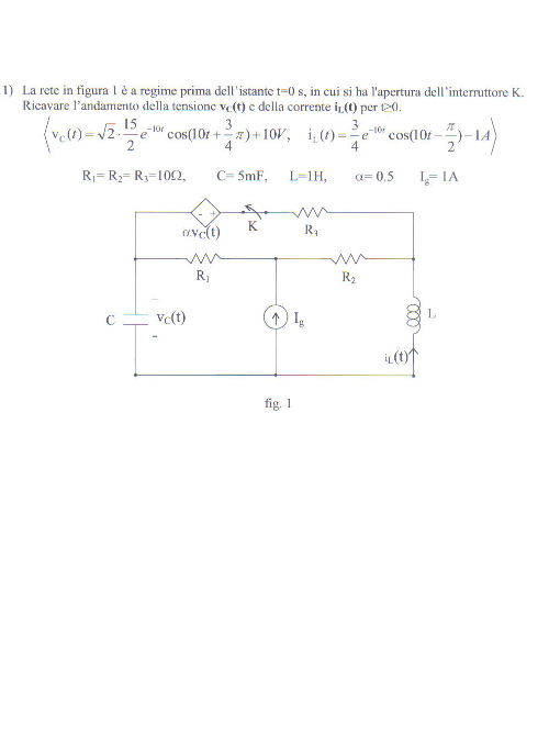
a questo punto, e solo a questo punto, possiamo cominciare a scrivere le equazioni: una KVL associata a tre relazioni aggiuntive "al contorno"

\left\{ \begin{align}
  & -R_{1}i_{2}(t)-v_{c}(t)-v_{L}(t)-R_{2}i_{1}(t)=0 \\ 
 & i_{2}(t)-i_{1}(t)=I_{g} \\ 
 & i_{2}(t)=C\frac{\text{d}v_{c}(t)}{\text{d}t} \\ 
 & v_{L}(t)=L\frac{\text{d}i_{1}(t)}{\text{d}t} \\ 
\end{align} \right.

... aspetto la soluzione :wink:
"Il circuito ha sempre ragione" (Luigi Malesani)

Avatar utente
Foto UtenteBenjamin
0 2
New entry
New entry
Messaggi: 54
Iscritto il: 20 feb 2010, 12:45
0
voti

[57] Re: Esercizi nel dominio del tempo e nel dominio della frequenza

Messaggioda Foto UtenteBenjamin » 21 feb 2010, 20:29

ok ci provo

Avatar utente
Foto UtenteRenzoDF
55,9k 8 12 13
G.Master EY
G.Master EY
Messaggi: 13189
Iscritto il: 4 ott 2008, 9:55
0
voti

[58] Re: Esercizi nel dominio del tempo e nel dominio della frequenza

Messaggioda Foto UtenteRenzoDF » 21 feb 2010, 23:37

Ne approfitto per far vedere come si potrebbe risolvere l'equazione differenziale relativa a questa rete con wxMaxima

2010-02-21_232831.png
2010-02-21_232831.png (14.85 KiB) Visto 1631 volte
"Il circuito ha sempre ragione" (Luigi Malesani)

Avatar utente
Foto UtenteBenjamin
0 2
New entry
New entry
Messaggi: 54
Iscritto il: 20 feb 2010, 12:45
0
voti

[59] Re: Esercizi nel dominio del tempo e nel dominio della frequenza

Messaggioda Foto UtenteBenjamin » 22 feb 2010, 12:42

... :x non capisco la terza equazione del sistema:

non ci dovrebbe essere ic al posto di i2.

Cercando di scrivere l' equazione differenziale, forse manca qualcosa

Avatar utente
Foto UtenteRenzoDF
55,9k 8 12 13
G.Master EY
G.Master EY
Messaggi: 13189
Iscritto il: 4 ott 2008, 9:55
0
voti

[60] Re: Esercizi nel dominio del tempo e nel dominio della frequenza

Messaggioda Foto UtenteRenzoDF » 22 feb 2010, 13:00

Benjamin ha scritto:... :x non capisco la terza equazione del sistema:

non ci dovrebbe essere ic al posto di i2.


La ic è la i2 :!: :wink: ... come la i1 è la iL :!:

Benjamin ha scritto:Cercando di scrivere l' equazione differenziale, forse manca qualcosa


in che senso ?
"Il circuito ha sempre ragione" (Luigi Malesani)


Torna a “Elettrotecnica generale”