drGremi ha scritto:jaelec ha scritto:Riferendoci sempre al secondario di un trasformatore: esiste una f.e.m. che trovando le condizioni fa circolare una corrente oppure esiste prima una corrente che anche solo tentando di circolare genera una tensione? O le cose sono equivalenti?
Onestamente non sono sicuro di aver capito. Il secondario di un trasformatore schematizzandolo con un trasformatore ideale (riluttanza nulla) puoi trattarlo esattamente come una spira la cui variazione di flusso è quella imposta dal primario.
Quindi se hai supposto esista una fem a prescindere allora vale anche in questo caso. Il fenomeno è lo stesso.
Il discorso è che stai cercando di "dividere" il "mondo magnetico" dal "mondo elettrico". Ma sono tutt'uno una cosa sola e non potresti separarli (se non in alcune circostanze particolari in cui sembrano separati). Se proprio la volessimo complicare ancora in realtà nemmeno dovremo poterla separare dal "mondo particellare", ma fino a che si sta a "bassa frequenza" va tutto bene e si possono non scomodare i fotoni.
Però tempo stiamo andando davvero sul "filosofico". Nel senso ok, la fem c'è a prescindere. Poi se la vuoi misurare falla una misura di tensione a corrente nulla![]()
È un libro di testo del tecnico, che razza di trattazione si vorrebbe fare? Per dire, all'inizio (liceo) credevo che i campi elettromagnetici fossero solo TEM (anzi nemmeno sapevo che volesse dire TEM) e poi ho scoperto le guide d'onda all'università, i modi TEM, TM e TE e quasi TEM. Questo che voglio dire, ci sta che agli inizi ci siano imprecisioni, poi si si va avanti si stratifica.
Ho una relazione che lega una tensione (f.e.m.) a una variazione di flusso. Per capire a quale tensione e a quale flusso ci si vuole riferire ho bisogno dei riferimenti (versi) per le specifiche grandezze in gioco e questo, se vogliamo, a maggior ragione quando sono uno studente che non ha conoscenze più profonde sulle quali poter contare. Se uno mi ha insegnato direttamente rispetto a quali riferimenti per tensione e flusso vale la relazione di Lenz allora quando mi trovo, per esempio, nel caso di un secondario di un trasformatore a vuoto io saprò subito indicare il riferimento della f.e.m. rispetto al quale tale f.e.m è uguale a meno la variazione del flusso (o il riferimento opposto rispetto al quale è uguale alla variazione di flusso). Altrimenti, se il tutto viene fatto passare attraverso la corrente, lo studente potrebbe avere difficoltà per esempio, come dicevo, nel caso in cui la corrente non passa...
Se in una relazione come la legge di Ohm mi si danno i versi di riferimento per corrente e tensione, rispetto ai quali vale, io saprò applicare la legge anche se non conosco, tanto per dire, tutta la teoria sul campo elettrico.
In maniera analoga, se in una relazione come quella della legge di Lenz mi sono forniti i versi di riferimento per flusso e tensione, rispetto ai quali vale, io saprò applicare la legge subito anche senza conoscere o tirare in ballo campi o correnti che passano o che non passano.
Cioè se la relazione lega flusso a tensione perché menare il can per l'aia parlando di corrente e alla fine nemmeno mi fai vedere qual è il riferimento per la tensione?
Ma questo lo fanno tutti o quasi, da quello che ho potuto vedere, non è una critica specifica agli autori del libro.

Elettrotecnica e non solo (admin)
Un gatto tra gli elettroni (IsidoroKZ)
Esperienza e simulazioni (g.schgor)
Moleskine di un idraulico (RenzoDF)
Il Blog di ElectroYou (webmaster)
Idee microcontrollate (TardoFreak)
PICcoli grandi PICMicro (Paolino)
Il blog elettrico di carloc (carloc)
DirtEYblooog (dirtydeeds)
Di tutto... un po' (jordan20)
AK47 (lillo)
Esperienze elettroniche (marco438)
Telecomunicazioni musicali (clavicordo)
Automazione ed Elettronica (gustavo)
Direttive per la sicurezza (ErnestoCappelletti)
EYnfo dall'Alaska (mir)
Apriamo il quadro! (attilio)
H7-25 (asdf)
Passione Elettrica (massimob)
Elettroni a spasso (guidob)
Bloguerra (guerra)







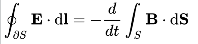
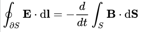
(forma differenziale della legge di induzione di Faraday-Neumann-Lenz)
(legge della circuitazione di Ampère-Maxwell)
(legge di conservazione della carica elettrica)
pigreco]=π