Esercizi nel dominio del tempo e nel dominio della frequenza

Circuiti, campi elettromagnetici e teoria delle linee di trasmissione e distribuzione dell’energia elettrica

Moderatori: Foto Utenteg.schgor, Foto UtenteIsidoroKZ

Avatar utente
Foto UtenteBenjamin
0 2
New entry
New entry
Messaggi: 54
Iscritto il: 20 feb 2010, 12:45
0
voti

[1] Esercizi nel dominio del tempo e nel dominio della frequenza

Messaggioda Foto UtenteBenjamin » 20 feb 2010, 15:16

Salve, mi presento sono Benjamin. Come da titolo sto cercando di svolgere esercizi sia nel dominio del tempo che della frequenza, cercando di svolgere esercizi che siano quanto più completi possibili.
Vi posto uno di questi che non sono riuscito a svolgere:
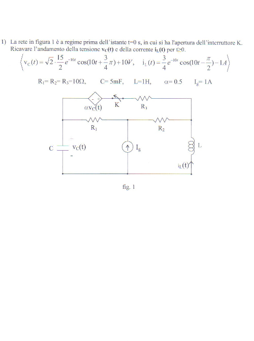
lastscan.jpg
lastscan.jpg (65.67 KiB) Visto 3544 volte


Questo è il circuito. Come posso analizzarlo. Vi ringrazio.

Avatar utente
Foto UtenteRenzoDF
55,9k 8 12 13
G.Master EY
G.Master EY
Messaggi: 13189
Iscritto il: 4 ott 2008, 9:55
0
voti

[2] Re: Esercizi nel dominio del tempo e nel dominio della frequenza

Messaggioda Foto UtenteRenzoDF » 20 feb 2010, 15:22

Prima dovresti dirci come hai provato a risolverlo :wink:
"Il circuito ha sempre ragione" (Luigi Malesani)

Avatar utente
Foto UtenteBenjamin
0 2
New entry
New entry
Messaggi: 54
Iscritto il: 20 feb 2010, 12:45
0
voti

[3] Re: Esercizi nel dominio del tempo e nel dominio della frequenza

Messaggioda Foto UtenteBenjamin » 20 feb 2010, 15:33

Allora per t<=0 il circuito è a regime e quindi i condensatori sono dei circuiti aperti e gli induttori sono dei corto circuiti. Per t>0 dovrei applicare qualche metodo sistematico: correnti di maglia, metodo dei nodi oppure equazioni di stato. Ma non capisco come si sceglie il metodo migliore.
Ho postato l' esercizio anche per capire aspetti teorici che non ho ancora capito e che attraverso gli esercizi emergono.

Avatar utente
Foto UtenteRenzoDF
55,9k 8 12 13
G.Master EY
G.Master EY
Messaggi: 13189
Iscritto il: 4 ott 2008, 9:55
0
voti

[4] Re: Esercizi nel dominio del tempo e nel dominio della frequenza

Messaggioda Foto UtenteRenzoDF » 20 feb 2010, 15:51

La scelta del metodo migliore è ardua, se non hai una grande esperienza applicativa, devi provare a scrivere le equazioni per decidere quale sia, se non la migliore, quella più abbordabile :wink:

Prova a scrivere il sistema con le "correnti di maglia" :!:
"Il circuito ha sempre ragione" (Luigi Malesani)

Avatar utente
Foto UtenteBenjamin
0 2
New entry
New entry
Messaggi: 54
Iscritto il: 20 feb 2010, 12:45
0
voti

[5] Re: Esercizi nel dominio del tempo e nel dominio della frequenza

Messaggioda Foto UtenteBenjamin » 20 feb 2010, 16:02

Anche io penso che il metodo delle correnti di maglia sia il miglirore, anche perché sembrano evidenti le 3 maglie :D

Per t<0, risolvo il circuito per trovare le condizioni iniziali sul condensatore e sull'induttore, o non c'è bisogno?

Avatar utente
Foto Utenterini
1.420 2 5 13
Master EY
Master EY
Messaggi: 461
Iscritto il: 17 dic 2007, 0:04
Località: Bologna \ Salento
0
voti

[6] Re: Esercizi nel dominio del tempo e nel dominio della frequenza

Messaggioda Foto Utenterini » 20 feb 2010, 16:19

Nei hai bisogno di sapere le condizioni iniziali. In quanto mo che scriverai le equazioni, ti troverai di fronte a delle EDO (equazioni differenziali ordinarie) e quindi al fine di essere risolte devi dirli le condizioni iniziali.
rini - \existslectroYou

Avatar utente
Foto UtenteRenzoDF
55,9k 8 12 13
G.Master EY
G.Master EY
Messaggi: 13189
Iscritto il: 4 ott 2008, 9:55
0
voti

[7] Re: Esercizi nel dominio del tempo e nel dominio della frequenza

Messaggioda Foto UtenteRenzoDF » 20 feb 2010, 16:21

Benjamin ha scritto:Per t<0, risolvo il circuito per trovare le condizioni iniziali sul condensatore e sull'induttore, o non c'è bisogno?


Certo, trova prima le condizioni iniziali, ovvero vc(0-) e iL(0-) :!:
"Il circuito ha sempre ragione" (Luigi Malesani)

Avatar utente
Foto UtenteBenjamin
0 2
New entry
New entry
Messaggi: 54
Iscritto il: 20 feb 2010, 12:45
0
voti

[8] Re: Esercizi nel dominio del tempo e nel dominio della frequenza

Messaggioda Foto UtenteBenjamin » 20 feb 2010, 17:07

Sono bloccato! Non riesco a risolvere il circuito per t<0.
Io ho messo un circuito aperto al posto del condensatore e un cortocircuito al posto dell' induttore. Ma poi non so andare avanti...

Avatar utente
Foto Utenterini
1.420 2 5 13
Master EY
Master EY
Messaggi: 461
Iscritto il: 17 dic 2007, 0:04
Località: Bologna \ Salento
0
voti

[9] Re: Esercizi nel dominio del tempo e nel dominio della frequenza

Messaggioda Foto Utenterini » 20 feb 2010, 17:18

Ok... tu metteresti un circuito aperto a posto del condensatore e un cortocircuito a posto dell'induttore nel caso in cui ci sia applicata una tensione/corrente continua nel tempo. Nel tuo caso non è così! Hai una tensione/corrente sinusoidale e quindi dovresti risolverlo utilizzando i fasori o numeri complessi (io farei così però ci sono altre strade).

Rispondi: In alternata come si comportano i condensatori e le induttanze?
v_L(t) = L \dfrac{di}{dt}(t) \Rightarrow j2\pi f L
rini - \existslectroYou

Avatar utente
Foto UtenteBenjamin
0 2
New entry
New entry
Messaggi: 54
Iscritto il: 20 feb 2010, 12:45
0
voti

[10] Re: Esercizi nel dominio del tempo e nel dominio della frequenza

Messaggioda Foto UtenteBenjamin » 20 feb 2010, 17:37

Siamo nel dominio del tempo infatti Ig è 1, quelli tra parentesi sono i risultati


Torna a “Elettrotecnica generale”