Dedicato a tutti quelli che studiano le funzioni matematiche.
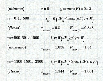
Quando non sia semplice ricavare la derivata,
la si può ricostruire graficamente con le differenze finite
e ricavare da questa massimi, minimi e flessi.
Ecco un esempio:
Studio delle funzioni con le differenze finite
Moderatori:
PietroBaima,
Ianero
2 messaggi
• Pagina 1 di 1
0
voti
Questo è veramente un bel thread.
Per mille motivi.
Grazie Giovanni
Per mille motivi.
Grazie Giovanni
-

PietroBaima
90,7k 7 12 13 - G.Master EY

- Messaggi: 12207
- Iscritto il: 12 ago 2012, 1:20
- Località: Londra
2 messaggi
• Pagina 1 di 1
Chi c’è in linea
Visitano il forum: Nessuno e 8 ospiti

Elettrotecnica e non solo (admin)
Un gatto tra gli elettroni (IsidoroKZ)
Esperienza e simulazioni (g.schgor)
Moleskine di un idraulico (RenzoDF)
Il Blog di ElectroYou (webmaster)
Idee microcontrollate (TardoFreak)
PICcoli grandi PICMicro (Paolino)
Il blog elettrico di carloc (carloc)
DirtEYblooog (dirtydeeds)
Di tutto... un po' (jordan20)
AK47 (lillo)
Esperienze elettroniche (marco438)
Telecomunicazioni musicali (clavicordo)
Automazione ed Elettronica (gustavo)
Direttive per la sicurezza (ErnestoCappelletti)
EYnfo dall'Alaska (mir)
Apriamo il quadro! (attilio)
H7-25 (asdf)
Passione Elettrica (massimob)
Elettroni a spasso (guidob)
Bloguerra (guerra)
pigreco]=π