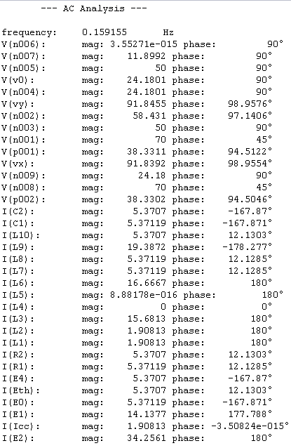
TONYSTARK ha scritto:Quindi torna quello che dicevo nel post 46?
Nel post hai corretto la situazione relativa alle correnti, ma mancano le considerazioni sulle tensioni, ... il discorso si riallaccia a quello che ti facevo notare il un altro post, sull'importanza di indicare correttamente le relazioni non solo fra le correnti ma anche fra le tensioni.
Prova ad indicare v1,v2 e v3 sui tre induttori e a scrivere le tre relazioni costitutive dei tre induttori mutuamente accoppiati, vedrai che tutto si chiarira' !

Elettrotecnica e non solo (admin)
Un gatto tra gli elettroni (IsidoroKZ)
Esperienza e simulazioni (g.schgor)
Moleskine di un idraulico (RenzoDF)
Il Blog di ElectroYou (webmaster)
Idee microcontrollate (TardoFreak)
PICcoli grandi PICMicro (Paolino)
Il blog elettrico di carloc (carloc)
DirtEYblooog (dirtydeeds)
Di tutto... un po' (jordan20)
AK47 (lillo)
Esperienze elettroniche (marco438)
Telecomunicazioni musicali (clavicordo)
Automazione ed Elettronica (gustavo)
Direttive per la sicurezza (ErnestoCappelletti)
EYnfo dall'Alaska (mir)
Apriamo il quadro! (attilio)
H7-25 (asdf)
Passione Elettrica (massimob)
Elettroni a spasso (guidob)
Bloguerra (guerra)









.