Avere una selettività con 0,3mA significa, secondo me, perdere molto della protezione delle persone contro i contatti diretti ... rimarrebbero per quelli indiretti e la protezione delle installazioni contro i guasti differenziali.
Inserimento interruttore MT e Differenziale
Moderatori:
sebago,
MASSIMO-G,
lillo,
Mike
26 messaggi
• Pagina 2 di 3 • 1, 2, 3
0
voti
Si anche secondo me è inutile (ripensandoci) ... essendo tutto nello stesso quadro ...
Avere una selettività con 0,3mA significa, secondo me, perdere molto della protezione delle persone contro i contatti diretti ... rimarrebbero per quelli indiretti e la protezione delle installazioni contro i guasti differenziali.
Avere una selettività con 0,3mA significa, secondo me, perdere molto della protezione delle persone contro i contatti diretti ... rimarrebbero per quelli indiretti e la protezione delle installazioni contro i guasti differenziali.
-

cippolla02
20 3 - Messaggi: 47
- Iscritto il: 26 gen 2012, 23:59
1
voti
perdere molto della protezione delle persone contro i contatti diretti ...
Guarda che la protezione dai contatti diretti è solo qualla passiva. L'unica efficace.
Quella che ottieni con il differenziale da 30 mA, infatti, si chiama protezione addizionale ed è di efficacia abbastanza ridotta (andrebbe un po' meglio se fosse un differenziale da 10 mA).
0
voti
Il differenziale agisce solo quando c'è una differenza vettoriale tra le correnti tale per cui risulti maggiore di quella impostata.
Io parlo di quando c'è una corrente di guasto a terra di almeno 30mA (quando tarato a 30mA) tra la persona e la terra: in queste condizioni scatta (30mA sono ritenuti non pericolosi). Quindi protegge da contatti diretti
, anche se passa corrente per frazioni di secondo.
Purtroppo non si è sempre in queste condizioni e questo dipende anche dalla resistenza che il corpo offre e quindi il differenziale, se la dispersione è piccola, non scatta e correnti prolungate possono essere pericolose.
Poi c'è il discorso se non passa corrente a terra ...
Per un appartamento uno da 10mA generale secondo voi potrebbe esserci una qualche probabilità che questo non scatti per cui può anche essere installato al posto del 30mA o non vale la pena neache di provare?
Io parlo di quando c'è una corrente di guasto a terra di almeno 30mA (quando tarato a 30mA) tra la persona e la terra: in queste condizioni scatta (30mA sono ritenuti non pericolosi). Quindi protegge da contatti diretti
Purtroppo non si è sempre in queste condizioni e questo dipende anche dalla resistenza che il corpo offre e quindi il differenziale, se la dispersione è piccola, non scatta e correnti prolungate possono essere pericolose.
Poi c'è il discorso se non passa corrente a terra ...
Per un appartamento uno da 10mA generale secondo voi potrebbe esserci una qualche probabilità che questo non scatti per cui può anche essere installato al posto del 30mA o non vale la pena neache di provare?
-

cippolla02
20 3 - Messaggi: 47
- Iscritto il: 26 gen 2012, 23:59
0
voti
Purtroppo non si è sempre in queste condizioni e questo dipende anche dalla resistenza che il corpo offre e quindi il differenziale, se la dispersione è piccola, non scatta e correnti prolungate possono essere pericolose.
Non ho ben capito a quale circostanza si riferisce quel "purtroppo".
Per un appartamento uno da 10mA generale secondo voi potrebbe esserci una qualche probabilità che questo non scatti per cui può anche essere installato al posto del 30mA o non vale la pena neache di provare?
Avevo un conoscente con un 10 mA come generale in casa e ci conviveva abbastanza bene.
Non è però una scelta consigliabile. Bisogna separare le utenze sotto differenziali separati e allora va bene anche il 10 mA. Raccomandabile nei luoghi a maggior rischio elettrico, come i bagni.
0
voti
Non ho ben capito a quale circostanza si riferisce quel "purtroppo".
Intendevo se il corpo offre una maggior resistenza tale per cui non scatta e siamo comunque a livelli pericolosi di corrente.
In teoria non scatta per valori sotto i 0,5 * 0.03A; incerto tra i 0,5-1 * 0.03A; sopra si. Almeno penso ...
Bisogna separare le utenze sotto differenziali separati e allora va bene anche il 10 mA.
Ho letto un po' il post sulle correnti di dispersioni e dato che nominano te
Questo per farmi un'idea della fattibilità
-

cippolla02
20 3 - Messaggi: 47
- Iscritto il: 26 gen 2012, 23:59
0
voti
Ho letto un po' il post sulle correnti di dispersioni e dato che nominano tevolevo chiederti se ha senso provare a quantificare le correnti di dispersioni ovvero: Tengo accesso diversi apparati abituali e provo a misurare la corrente (Fondo scala 20mA) sul cavo di massa principale in tempi diversi
6367 ??
Bisogna separare le utenze sotto differenziali separati e allora va bene anche il 10 mA.
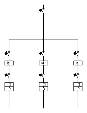
Dal disegno partono tre linee con 3 diff diversi da 0.03A, quindi le correnti di dispersione vengono ripartite su tre punti...
Prima di valutare di mettere i 10mA e poi vedere che scatta spesso ... è possibile quantificare le dispesioni con una misurazione diretta sulla massa ???
Come soluzione alternativa, pensando a quello che avete detto voi, potrebbe essere questa:
A monte dei differenziali un differenziale da 0,03A con riarmo automatico in classe A, in questo modo aggiungo una protezione (classe A, senza cambiare gli altri dato che quelli in classe A costano molto di +) e aggiungo una ridondanza completa ai differenziali a valle ... L'unico neo è che scatterebbe anche lui, ma una volta isolato il guasto dall'altro differenziale quello a monte ritornerebbe su. Se è un guasto con corrente pulsante rimarrebbe giù solo lui, bè sempre meglio che non averne giù nessuno
-

cippolla02
20 3 - Messaggi: 47
- Iscritto il: 26 gen 2012, 23:59
0
voti
La situazione è questa?
⋮ƎlectroYou e ne sai di più!
0
voti
cippolla02 ha scritto:...
A monte dei differenziali un differenziale da 0,03A con riarmo automatico in classe A, in questo modo aggiungo una protezione ... Cosa ne pensate, essendo all'inizio ???
Io riterrei superfluo il differenziale generale, visto che già le partenze sono protette
⋮ƎlectroYou e ne sai di più!
0
voti
6367 ??
L'argomento è trattato nella CEI 23-98 (guida all'uso corretto degli interruttori differenziali).
Corrente nominale dell’apparecchiatura <=4A, massima di dispersione 2 mA
" >4A, <= 10 A " 0,5 A per ogni ampere
" > 10 A " 5 A
Sono delle stime massime utili per evitare scatti intempestivi dei differenziali.
26 messaggi
• Pagina 2 di 3 • 1, 2, 3
Torna a Impianti, sicurezza e quadristica
Chi c’è in linea
Visitano il forum: Nessuno e 195 ospiti

Elettrotecnica e non solo (admin)
Un gatto tra gli elettroni (IsidoroKZ)
Esperienza e simulazioni (g.schgor)
Moleskine di un idraulico (RenzoDF)
Il Blog di ElectroYou (webmaster)
Idee microcontrollate (TardoFreak)
PICcoli grandi PICMicro (Paolino)
Il blog elettrico di carloc (carloc)
DirtEYblooog (dirtydeeds)
Di tutto... un po' (jordan20)
AK47 (lillo)
Esperienze elettroniche (marco438)
Telecomunicazioni musicali (clavicordo)
Automazione ed Elettronica (gustavo)
Direttive per la sicurezza (ErnestoCappelletti)
EYnfo dall'Alaska (mir)
Apriamo il quadro! (attilio)
H7-25 (asdf)
Passione Elettrica (massimob)
Elettroni a spasso (guidob)
Bloguerra (guerra)



