Il centrostella mobile risolve il problema di come far girare un'elica tripala fra due muri vicini

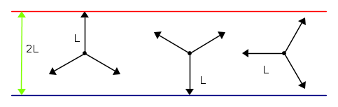
Supponiamo di avere un'elica tripala con ogni pala lunga L. La vogliamo mettere fra due muri in modo pero` che possa girare. Se il mozzo dell'elica e` fisso, la soluzione e` questa:
Si vede che la distanza fra i due muri deve essere pari al doppio della lunghezza della pala, e il mozzo e` messo fisso in mezzo fra i due muri.
Ovviamente le tre pali rappresentano le tre tensioni di picco di un sistema trifase e i due muri il bus in continua. Se vogliamo ottenere 230V di concatenata, che vogliono dire una tensione di picco di 325V, la tensione stellata di picco deve essere di 188V, e quindi il bus in continua deve essere di 376V.
Pero` se si guarda bene si vede che la terna non tocca mai contemporaneamente i due limiti, anzi, anche quando si e` nel caso peggiore, quello piu` a destra, c'e` ancora spazio sia sopra che sotto per poter avvicinare i due rail di alimentazione.
Se avvicinassi solo i rail di alimentazione, tenenendo il centro stella fisso, capiterebbe questo:
La tensione continua necessaria per il caso piu` critico sarebbe di soli 325V (il picco della concatenata), ma non ne avrei abbastanza per alimentare correttamente una delle fasi nei primi due casi.
Anche nei primi due casi c'e` ancora spazio per avvicinare i due rail, ma "da una parte sola. Per poter avvicinare le alimentazioni in continua nei primi due casi bisogna spostare tutta la terna, in pratica modulando il potenziale del neutro.
Pero` a un carico trifase senza neutro non interessa di dove va il neutro, posso spostare tuta la terna in su e in giu`, nei primi due casi, in modo da farcela stare fra i due rail e avere sempre la concatenata giusta.
Si ottiene una cosa del genere:
Qui si vede che spostando su e giu` il neutro, con 325V di rail ottengo una concatenata efficace di 230V, e il caso piu` critico e` il terzo, dove le tensioni di ciascuna fase sono pari alle tensioni di rail.
In pratica raddrizzando un 230V monofase e alimentando con questa continua un inverter posso otterene un 230V trifase, cosa che sarebbe impossibile senza spostare il centro stella.
Il centrostella deve essere spostasto su e giu` (in teoria) con una sinusoide a 3 volte la frequenza generata. Le tensioni generate, riferite al centro della continua sono in questa figura (un po' complicata)

- FDO inverter con neutro modulato
- trifase.jpg (21.03 KiB) Osservato 6476 volte
In rosso blu e nero ci sono le sinusoidi che un inverter con centrostella fisso genererebbe, rispetto al centro della tensione continua di bus.
Sotto le tre sinusoidi si vedono le tre tensioni "ammaccate" effettivamente prodotte dall'inverter. In viola c'e` il segnale che sposta il centro stella: una terza armonica con ampiezza 1/6 della fondamentale. In verde infine c'e` una delle concatenate: anche le stellate sono distorte, le concatenate sono sinusoidali.
E poi come gran finale devo ancora dire che in realta` non si fa cosi`

. Se si guardano le tensioni stellate vere si vede che in zona picco positivo e negativo sono quasi piatte. Al posto di sommare una terza armoniza sinusoidale, si chiude ciclicamente uno dei 6 interruttori di continuo per 60 gradi: le forme d'onda vengono spianate vicino ai picchi, ma questo vuol dire che nell'inverter c'e` sempre una gamba che non commuta e le altre due hanno in duty cycle richiesto per far venire la concatenata sinusoidale. Avere una gamba che non commuta vuol dire ridurre di 1/3 le perdite di commutazione.