Cos'è ElectroYou | Login Iscriviti

ElectroYou - la comunità dei professionisti del mondo elettrico

valore atteso numero trasmissioni

Telefonia, radio, TV, internet, reti locali...comandi a distanza

Moderatore: Foto Utentejordan20

0
voti

[1] valore atteso numero trasmissioni

Messaggioda Foto Utentemazzy89 » 9 set 2012, 13:04

Consideriamo il seguente caso studio
Una Base Station e N dispositivi mobili (cellulari, tablet,ecc) situati in un'area più o meno vasta.
Supponiamo che la base station invii in broadcast un pacchetto agli N dispositivi mobili. Questi lo riceveranno tramite il collegamento cellulare di cui sono dotati (3G,UMTS,ecc).
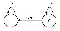
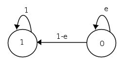
Supponiamo che la probabilità di perdere un pacchetto sia pari ad \varepsilon.
La matrice di transizione per un generico nodo (un nodo sarebbe un singolo dispositivo mobile) è:

\begin{bmatrix}
\varepsilon & 1-{\varepsilon} \\
0 & 1
\end{bmatrix}

Tale matrice che indichiamo con B_{j} è ricavabile dalla catena di markov:



dove lo stato 0 indica che il pacchetto è stato perso e lo stato 1 che il pacchetto è stato ricevuto.

Tutti i nodi allo stato iniziale si troveranno nello stato 0. La matrice delle condizioni iniziali S sarà:

\begin{bmatrix}
1 & 0 \\
0 & 0
\end{bmatrix}

La probabilità di distribuzione di un pacchetto su un nodo dopo tc trasmissioni sarà pari al primo elemento della matrice P^{tc} ottenuta tramite il prodotto:

P_{tc}=SB_j

La probabilità che un nodo abbia ricevuto un pacchetto dopo tc trasmissioni è rappresentata dall'elemento P_{tc}(1,2) ovvero prima riga e seconda colonna.

La probabilità che tutti i nodi riceveranno il pacchetto sarà quindi pari a

(P_{tc}(1,2))^N

Il valore atteso del numero di trasmissioni necessari affinché gli N nodi riceveranno un pacchetto dalla BS sarà:

\sum_{tc=0}^{\infty}1-(P_{tc}(1,2))^N

Cioè che non ho compreso nel seguente modello analatico è perché si va a sottrare quel 1 nella sommatoria.
Avatar utente
Foto Utentemazzy89
3 1 3 6
Stabilizzato
Stabilizzato
 
Messaggi: 410
Iscritto il: 30 giu 2011, 17:21

Torna a Telecomunicazioni

Chi c’è in linea

Visitano il forum: Nessuno e 12 ospiti