problema di propagazione del calore
Moderatori:
paolo a m,
DarioDT,
Guerra
26 messaggi
• Pagina 2 di 3 • 1, 2, 3
0
voti
la temperatura calerà, secondo la legge citata poco prima...
l'andamento della temperatura dipenderà da una miriade di fattori: temperatura del corpo, temperatura dell'ambiente, modalità di scambio termico, materiale di cui è formato il corpo, fluido o solido al quale verrà ceduto il calore, ecc
ripeto, non è un problema semplice da risolvere.
l'andamento della temperatura dipenderà da una miriade di fattori: temperatura del corpo, temperatura dell'ambiente, modalità di scambio termico, materiale di cui è formato il corpo, fluido o solido al quale verrà ceduto il calore, ecc
ripeto, non è un problema semplice da risolvere.
Almeno l'itagliano sallo...
2
voti
Confermo
Emanuele Lorina
- Chi lotta contro i mostri deve fare attenzione a non diventare lui stesso un mostro. E se tu riguarderai a lungo in un abisso, anche l'abisso vorrà guardare dentro di te (F. Nietzsche)
- Tavole della legge by admin
- Chi lotta contro i mostri deve fare attenzione a non diventare lui stesso un mostro. E se tu riguarderai a lungo in un abisso, anche l'abisso vorrà guardare dentro di te (F. Nietzsche)
- Tavole della legge by admin
-

Lele_u_biddrazzu
8.154 3 8 13 - Master EY

- Messaggi: 1288
- Iscritto il: 23 gen 2007, 16:13
- Località: Modena
2
voti
DayWalker ha scritto:Grazie delle risposte ma non sono riuscito a capire cosa succede quando il corpo va in evoluzione libera. Cioè quando tolgo la sorgente di calore.
Se il problema non ha delle geometrie troppo strane, non ci sono effetti radiativi o convettivi, e` possibile farne un modello numerico con spice, usando un equivalente elettrico del sistema termico.
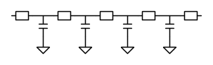
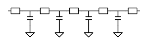
Per problemi unidimensionali, nei quali cioe` la temperatura dipende solo da una coordinata, il circuito equivalente potrebbe essere qualcosa del genere
Alle estremita` si mettono le condizioni al contorno, tipo temperatura fissa (=tensione costante), flusso di potenza (=generatore di corrente) ecc ecc
In molti simulatori si puo` definire una linea di trasmissione RC che quindi semplifica il problema.
Se invece il problema e` bidimensionale, si puo` fare un modello di questo tipo
In pratica si fa una discretizzazione spaziale del problema. La maglia quadrata e` solo per comodita`, si possono fare anche altre geometrie.
Per usare proficuamente un simulatore, bisogna sapere molta più elettronica di lui
Plug it in - it works better!
Il 555 sta all'elettronica come Arduino all'informatica! (entrambi loro malgrado)
Se volete risposte rispondete a tutte le mie domande
Plug it in - it works better!
Il 555 sta all'elettronica come Arduino all'informatica! (entrambi loro malgrado)
Se volete risposte rispondete a tutte le mie domande
0
voti
IsidoroKZ ha scritto:In pratica si fa una discretizzazione spaziale del problema.
"Lo scienziato descrive ciò che esiste, l'ingegnere crea ciò che non era mai stato."
(T. von Kármán)
(T. von Kármán)
1
voti
O.T.
Anche se nel mio caso la fisica c'entra poco o nulla, inquanto è più una questione legata al famoso fattore C, anche io ho i miei problemi a fare appattare la settanta, soprattutto quando gioco con mio suocero
Anche se nel mio caso la fisica c'entra poco o nulla, inquanto è più una questione legata al famoso fattore C, anche io ho i miei problemi a fare appattare la settanta, soprattutto quando gioco con mio suocero
Ognuno sta solo sul cuor della terra
trafitto da un raggio di sole:
ed è subito sera
Salvatore Quasimodo
trafitto da un raggio di sole:
ed è subito sera
Salvatore Quasimodo
26 messaggi
• Pagina 2 di 3 • 1, 2, 3
Torna a Termotecnica, illuminotecnica, acustica
Chi c’è in linea
Visitano il forum: Nessuno e 30 ospiti

Elettrotecnica e non solo (admin)
Un gatto tra gli elettroni (IsidoroKZ)
Esperienza e simulazioni (g.schgor)
Moleskine di un idraulico (RenzoDF)
Il Blog di ElectroYou (webmaster)
Idee microcontrollate (TardoFreak)
PICcoli grandi PICMicro (Paolino)
Il blog elettrico di carloc (carloc)
DirtEYblooog (dirtydeeds)
Di tutto... un po' (jordan20)
AK47 (lillo)
Esperienze elettroniche (marco438)
Telecomunicazioni musicali (clavicordo)
Automazione ed Elettronica (gustavo)
Direttive per la sicurezza (ErnestoCappelletti)
EYnfo dall'Alaska (mir)
Apriamo il quadro! (attilio)
H7-25 (asdf)
Passione Elettrica (massimob)
Elettroni a spasso (guidob)
Bloguerra (guerra)







