Esercizio fisica
Moderatori:
IsidoroKZ,
PietroBaima,
Ianero
7 messaggi
• Pagina 1 di 1
0
voti
[1] Esercizio fisica
Ciao a tutti :)
Mi potete aiutare a risolvere questo esercizio?
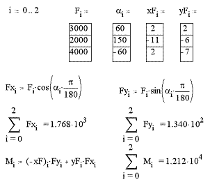
Determinare la forza tagliante R e la forza torcente M agenti sul bullone in O della piastra in figura.
F=3000 N
P= 2000 N
Q= 4000 N
grazie mille :)
2
voti
Direi di ricavare la forza risultante scrivendo le equazioni delle rette
passanti per le tre forze date (per ciascuna vale y=ax+b, dove a è la
tangente dell'angolo e b ricavabile dalle coordinate del punto di applicazione
della forza).
Conoscendo la forza risultante è facile ricavare R ed M.
Un'alternativa, forse più semplice, è quella di considerare
le componenti orizzontate e verticale di ciascuna forza.
passanti per le tre forze date (per ciascuna vale y=ax+b, dove a è la
tangente dell'angolo e b ricavabile dalle coordinate del punto di applicazione
della forza).
Conoscendo la forza risultante è facile ricavare R ed M.
Un'alternativa, forse più semplice, è quella di considerare
le componenti orizzontate e verticale di ciascuna forza.
7 messaggi
• Pagina 1 di 1
Chi c’è in linea
Visitano il forum: Nessuno e 28 ospiti

Elettrotecnica e non solo (admin)
Un gatto tra gli elettroni (IsidoroKZ)
Esperienza e simulazioni (g.schgor)
Moleskine di un idraulico (RenzoDF)
Il Blog di ElectroYou (webmaster)
Idee microcontrollate (TardoFreak)
PICcoli grandi PICMicro (Paolino)
Il blog elettrico di carloc (carloc)
DirtEYblooog (dirtydeeds)
Di tutto... un po' (jordan20)
AK47 (lillo)
Esperienze elettroniche (marco438)
Telecomunicazioni musicali (clavicordo)
Automazione ed Elettronica (gustavo)
Direttive per la sicurezza (ErnestoCappelletti)
EYnfo dall'Alaska (mir)
Apriamo il quadro! (attilio)
H7-25 (asdf)
Passione Elettrica (massimob)
Elettroni a spasso (guidob)
Bloguerra (guerra)


