da
guid » 3 nov 2014, 19:30
ciao ragazzi, torno a scrivervi qui perché studiando la rete bete sono incappato in una situazione per me anomala...
Come giustamente mi ha suggerito Carlo tempo fa ho studiato la rete beta della prima controreazione del circuito come una rete due porte formata in questo modo:

dunque la tensione che verrà a formarsi lungo l'emettitore del primo transistor sarà data dallo studio del seguente circuito ed una volta fatti i calcoli avrò la seguente funzione di trasferimento (che corrisponde al valore di beta):

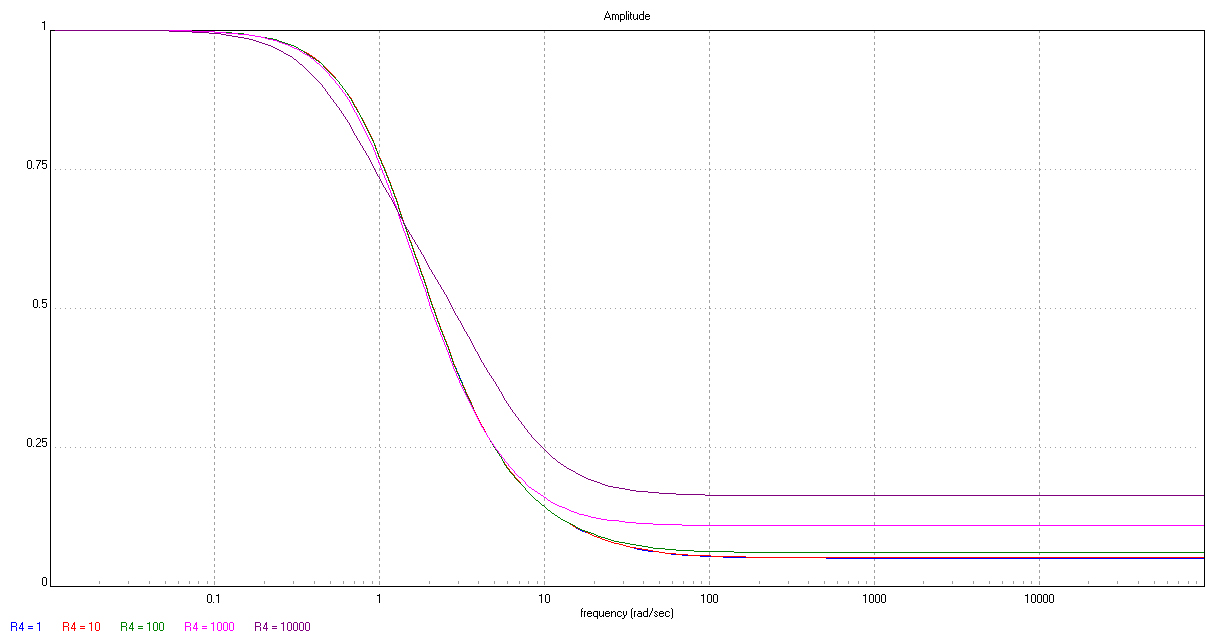
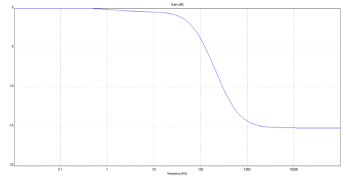
Il mio dubbio nasce in merito a questa funzione di trasferimento (dove Vs corrisponde all'ingresso e Vf all'uscita, quindi Vs corrisponde alla tensione sull'emettitore del terzo transistor e Vf alla tensione presente sull'emettitore del primo transistor)
Ho sempre studiato casi in cui la rete beta corrispondeva ad un numero.
In questo caso però il suo valore cambia a seconda della frequenza che sto considerando!
è normale per i sistemi audio un comportamento del genere?
non è anomala come situazione?
per trovare poi i vari valori che mi occorrono (come il guadagno ad anello chiuso, la Rin e la Rout del sistema controreazionato) dovrei usare diversi valori di beta a seconda di che frequenza sto utilizzando?
non potrei quindi considerare un comportamento generale?
spero di essere stato chiaro...
ciao a tutti
