Cos'è ElectroYou | Login Iscriviti

ElectroYou - la comunità dei professionisti del mondo elettrico

Effetto usura spazzole su corrente

Trasformatori, macchine rotanti ed azionamenti

Moderatori: Foto UtenteSandroCalligaro, Foto Utentemario_maggi, Foto Utentefpalone

0
voti

[11] Re: Effetto usura spazzole su corrente

Messaggioda Foto UtenteAleopra » 16 dic 2014, 9:29

eddy ha scritto:Per il tuo scopo ti consiglierei un tipo di spazzola speciale


Forse non mi sono spiegato bene, io non devo scegliere il tipo di motore, devo solo conftontare due forme d'onda di corrente assorbita dal medesimo motore nelle stesse condizioni ambientali e di funzionamento (temperature, unidità, coppia resistente e quindi valore di corrente assorbita, tensione di alimentazione ecc.) nel caso in cui le spazzole siano nuove e nel caso in cui siano usurate.

La differenza tra le forme d'onda di corrente in questi due casi è che nel caso di n'usura delle spazzole che porti al scintillio compare una componente ad alta frequenza nella corrente con un'ampiezza che via via aumenta all'aumentare del degrade.

La mia domanda era quindi quale fosse il fenomeno fisico che causasse questo effetto.
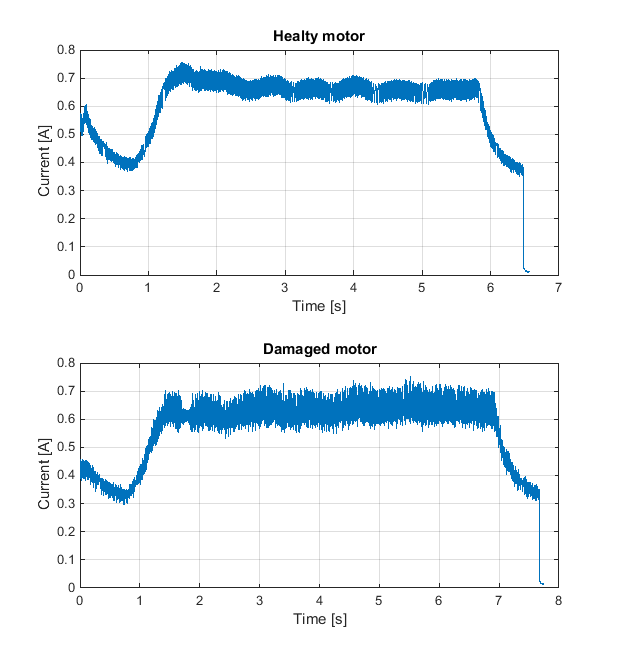
confronto_usura_spazzole.png
Confronto tra le due correnti, sopra le spazzole sono nuove mentre sotto sono usurate e si ha lo scintillio.
Avatar utente
Foto UtenteAleopra
10 4
 
Messaggi: 26
Iscritto il: 7 ott 2014, 10:01

1
voti

[12] Re: Effetto usura spazzole su corrente

Messaggioda Foto Utentemario_maggi » 17 dic 2014, 9:53

Sono basito nel vedere che per un progetto universitario si fanno studi su motori senza futuro, destinati a morire presto.
Mi sarebbe piaciuto sapere che all'universita' si stavano studiando i motori a flusso trasversale, o quelli a 5 o 11 o 17 o 23 o 29 fasi, o motori speciali a riluttanza tipo PMASR o motori omopolari o motori superconduttivi.
Un saluto a tutti, ed auguri di buone feste.
Mario
Mario Maggi
https://www.evlist.it per la mobilità elettrica e filiera relativa
https://www.axu.it , inverter speciali, convertitori DC/DC, soluzioni originali per la qualità dell'energia
Innovazioni: https://www.axu.it/mm4
Avatar utente
Foto Utentemario_maggi
20,0k 3 11 12
G.Master EY
G.Master EY
 
Messaggi: 4179
Iscritto il: 21 dic 2006, 9:59
Località: Milano

0
voti

[13] Re: Effetto usura spazzole su corrente

Messaggioda Foto UtenteAleopra » 17 dic 2014, 10:18

Il motore in questione è u carica-molle per le protezioni MV, quindi è utile sapere che il motore sita andando a fine vita con un certo margine di tempo e sarebbe inutile e dispendioso usare qualcosa di più complicato.

Per una corretta diagnostica quindi era utile sapere il perché di quelle oscillazioni ad alta frequenza dovute all'usura.
Avatar utente
Foto UtenteAleopra
10 4
 
Messaggi: 26
Iscritto il: 7 ott 2014, 10:01

1
voti

[14] Re: Effetto usura spazzole su corrente

Messaggioda Foto Utenterichiurci » 17 dic 2014, 10:54

provo da profano a dare un'ipotesi...

perché a me non convince il fatto che avvicinandosi la parte metallica peggiori il comportamento a causa di una minor resistenza, dovrebbe essere il contrario!

Io ipotizzo un motivo puramente meccanico: all'aumentare dell'usura l'elemento elastico (molla) che spinge la spazzola sul collettore è sempre meno compresso, quindi il contatto peggiora.

Immagino ci sia un comportamento peggiore anche a inizio vita delle spazzole, quando si devono adattare al collettore (rodaggio)

Poi concordo con Mario sul fatto che siano motori "vecchi", ma comprendo anche che per applicazioni non troppo gravose, e vista la crisi, possano essere ancora utilizzati (e quindi studiati)
Avatar utente
Foto Utenterichiurci
32,6k 7 11 13
G.Master EY
G.Master EY
 
Messaggi: 8800
Iscritto il: 2 apr 2013, 16:08

0
voti

[15] Re: Effetto usura spazzole su corrente

Messaggioda Foto UtenteAleopra » 17 dic 2014, 11:29

richiurci ha scritto:Io ipotizzo un motivo puramente meccanico: all'aumentare dell'usura l'elemento elastico (molla) che spinge la spazzola sul collettore è sempre meno compresso, quindi il contatto peggiora.


In effetti questa spiegazione è piuttosto convincente, secondo me è effettivamente questo il motivo.

richiurci ha scritto:Immagino ci sia un comportamento peggiore anche a inizio vita delle spazzole, quando si devono adattare al collettore (rodaggio)


Effettivamente anche questo accade, anche se in modo quasi impercettibile, ed effettivamente lo spettro di un motore "vergine" è leggermente più distorto alle alte frequenze di quello di un motore con qualche decina di manovre alle spalle.

Ti ringrazio.
Avatar utente
Foto UtenteAleopra
10 4
 
Messaggi: 26
Iscritto il: 7 ott 2014, 10:01

0
voti

[16] Re: Effetto usura spazzole su corrente

Messaggioda Foto Utentemario_maggi » 17 dic 2014, 11:47

Aleopra,
allora stai parlando di un servomotore e non di un motore, le mie osservazioni di prima si riferiscono ad un motore.

1) Hai riscontrato questo effetto solo su un servomotore o su diversi esemplari?
2) Hai a disposizione una schermata con l'asse x piu' esteso, per vedere cosa avviene nelle decine di millisecondi?
3) Le spazzole hanno la solita cordina in rame annegata nel corpo, o hanno solo le molle?
4) Quoto EcoTan

Ciao
Mario
Mario Maggi
https://www.evlist.it per la mobilità elettrica e filiera relativa
https://www.axu.it , inverter speciali, convertitori DC/DC, soluzioni originali per la qualità dell'energia
Innovazioni: https://www.axu.it/mm4
Avatar utente
Foto Utentemario_maggi
20,0k 3 11 12
G.Master EY
G.Master EY
 
Messaggi: 4179
Iscritto il: 21 dic 2006, 9:59
Località: Milano

1
voti

[17] Re: Effetto usura spazzole su corrente

Messaggioda Foto UtenteAleopra » 17 dic 2014, 12:08

Il fenomeno si manifesta con tutti I servomotori testati.

Le spazzole hanno la cordina di rame annegata nel corpo ed hanno una molla che le spinge contro il collettore.

Allego un'immagine più dettagliata del rafftonto tra le component ad alta frequenza delle correnti, il tempo sull'asse delle ascisse è espresso in ms (in rosso c'è la corrente con le spazzole consummate che causano lo scintillio, in blu quella con le spazzole sane).
Raffronto.png
Raffronto.png (9.82 KiB) Osservato 3818 volte
Avatar utente
Foto UtenteAleopra
10 4
 
Messaggi: 26
Iscritto il: 7 ott 2014, 10:01

0
voti

[18] Re: Effetto usura spazzole su corrente

Messaggioda Foto Utenterichiurci » 17 dic 2014, 15:03

un'altra considerazione meccanica, sempre basata su pochissima esperienza diretta.

Le spazzole sono guidate, e all'aumentare dell'usura la superficie di scorrimento/centraggio si riduce, insomma possono deviare maggiormente dalla posizione ideale perpendicolare al collettore.

Magari è una cavolata, ma potrebbe dare qualche ulteriore istante peggioramento specie negli istanti di inversione marcia (se presenti)
Avatar utente
Foto Utenterichiurci
32,6k 7 11 13
G.Master EY
G.Master EY
 
Messaggi: 8800
Iscritto il: 2 apr 2013, 16:08

0
voti

[19] Re: Effetto usura spazzole su corrente

Messaggioda Foto UtenteEcoTan » 17 dic 2014, 15:28

richiurci ha scritto:a causa di una minor resistenza

Premetto che le ipotesi da te formulate mi sembrano convincenti.
In qualsiasi trattazione del fenomeno della commutazione nei collettori a lamelle, la resistenza delle spazzole viene computata in senso favorevole alla commutazione, anche se ovviamente sfavorevole al rendimento.
Poi le imperfezioni della commutazione finiscono per generare disturbi ad alta frequenza, dipende dalla fisica dell'arco elettrico e dalle reattanze parassite e su questo giustamente nessuno ha avanzato dubbi.
Avatar utente
Foto UtenteEcoTan
7.720 4 12 13
Expert EY
Expert EY
 
Messaggi: 5422
Iscritto il: 29 gen 2014, 8:54

0
voti

[20] Re: Effetto usura spazzole su corrente

Messaggioda Foto Utenterichiurci » 17 dic 2014, 15:33

interessante ma mi piacerebbe capirne il senso fisico...

Forse ti riferisci alla resistenza di contatto? E non si avrebbe lo stesso effetto con una piccola resistenza serie in altro punto (es esternamente al motore)?
Avatar utente
Foto Utenterichiurci
32,6k 7 11 13
G.Master EY
G.Master EY
 
Messaggi: 8800
Iscritto il: 2 apr 2013, 16:08

PrecedenteProssimo

Torna a Macchine elettriche

Chi c’è in linea

Visitano il forum: Nessuno e 8 ospiti