Ho verificato online, e in effetti i pin a cui allacciarsi sono quelli (1 e 5)
Anche il multimetro l'hai impostato bene.
sicuramente sarà una sfida per quanto riguarda la miniaturizzazione ... non ti invidio
forse con un connettore femmina (da allacciare temporanemanete all'alimentatore) potresti avere piu' fortuna nel collocare i puntali nel retro... ma anche li lavorerai nel piccolo.
A questo punto a regola per una misura sulla tensione erogata a vuoto dovresti essere a posto. Potrebbe anche essere un po' superiore a 5V, non sarebbe quel gran problema... in effetti questa misura non ha poi tutta questa utilità: l'importante è la tensione erogata con il suo carico connesso.
Per la misura della corrente assorbita dovresti metterti in serie (o sul pin 1 o sul 5), impostando il multimetro on modalità corrente. Ma certo che con questi connettori piccoli non so se è qualcosa di realmente fattibile.
Caricatore alternativo per smartphone
Moderatori:
carloc,
g.schgor,
BrunoValente,
IsidoroKZ
32 messaggi
• Pagina 2 di 4 • 1, 2, 3, 4
0
voti
E' impossibile da fare la misura di corrente, almeno per me che non ho tutti gli strumenti.
Ci sarebbe anche da mettere in comune il pin gnd di entrambi i connettori .
Ci sarebbe anche da mettere in comune il pin gnd di entrambi i connettori .
-

ultrasound91
318 2 4 6 - Disattivato su sua richiesta
- Messaggi: 700
- Iscritto il: 26 ago 2014, 21:02
1
voti
Ciao. Ho avuto a che fare anche io con la realizzazione di caricatori USB autocostruiti. Ci sono vari problemi da affrontare ed aspetti da considerare....Non si tratta semplicemente di attaccare 5 volt ad un povero smartphone
Sto scrivendo un articolo in cui parlo della mia esperienza personale e raccolgo tutte le informazioni racimolate su internet dopo ore ed ore di ricerche. Spero di poterlo terminare a breve e ti farò sapere al più presto.
Sarò ben felice se ti risulterà utile come punto di riferimento.
Ciao
Sto scrivendo un articolo in cui parlo della mia esperienza personale e raccolgo tutte le informazioni racimolate su internet dopo ore ed ore di ricerche. Spero di poterlo terminare a breve e ti farò sapere al più presto.
Sarò ben felice se ti risulterà utile come punto di riferimento.
Ciao
Alla fine, non ricorderemo le parole dei nostri nemici, ma i silenzi dei nostri amici.
Martin Luther King
Martin Luther King
-

thunderbolt128
1.640 1 8 13 - Expert

- Messaggi: 721
- Iscritto il: 4 set 2012, 13:57
0
voti
Appena l'articolo sarà online lo leggerò.
Nel frattempo ho trovato un programma per Android che si chiama ampere.
Sembra efficace, l'ho usato per testare i cavetti USB che ho in casa e ho scoperto quali limitano la corrente. Poi ho individuato un caricatore rovinato, perché lavorava su basse intensità inoltre caricava in modo irregolare.
Nel frattempo ho trovato un programma per Android che si chiama ampere.
Sembra efficace, l'ho usato per testare i cavetti USB che ho in casa e ho scoperto quali limitano la corrente. Poi ho individuato un caricatore rovinato, perché lavorava su basse intensità inoltre caricava in modo irregolare.
-

ultrasound91
318 2 4 6 - Disattivato su sua richiesta
- Messaggi: 700
- Iscritto il: 26 ago 2014, 21:02
0
voti
Russell ha scritto:a dire il vero ci dovrebbe mettere lo stesso tempo
SE il caricabatterie è fatto in modo appena decente ci mette circa il doppio in quanto limita la corrente a 500mA(il SE non è casuale visto il livello dei caricabatterie che vedo in giro
)0
voti
Anche io sono dell'idea che se la corrente max è limitata deve metterci più tempo.
Ma a quanto pare l'utilizzatore (la batteria) tenderà a "tirare" più corrente (senza riuscirci) danneggiando il caricatore.
Ma a quanto pare l'utilizzatore (la batteria) tenderà a "tirare" più corrente (senza riuscirci) danneggiando il caricatore.
-

ultrasound91
318 2 4 6 - Disattivato su sua richiesta
- Messaggi: 700
- Iscritto il: 26 ago 2014, 21:02
0
voti
Se l'alimentatore che viene dato dal produttore ha una corrente max di 1A non significa che durante la carica il cell assorba 1A, significa invece che il produttore, sapendo che la corrente max richiesta dal suo smartphone è I, e aggiungendo un coefficiente di sicurezza, ha stabilito che con 1A ci stava sufficientemente largo senza sovraccaricare nulla.
Puo' essere che I sia proprio 500mA, visto che non è raro che il coefficiente di sicurezza valga 2.
Questo significa che anche un alimentatore da 500mA (max) riesce a caricare il cell, e lo farebbe nello stesso tempo, il problema è che è sottodimensionato, quindi a lungo andare puo' facilmente rompersi.
Comunque quello delle correnti max non è un valore da prendere per sbatterlo nei conti, è solo un numero indicativo della portata tipica massima suggeribile per quel componente. Stà al buon senso stare "un po' sotto" tale max, e questo lo faccio io come (spero) lo facciano i produttori di cellulari.
Puo' essere che I sia proprio 500mA, visto che non è raro che il coefficiente di sicurezza valga 2.
Questo significa che anche un alimentatore da 500mA (max) riesce a caricare il cell, e lo farebbe nello stesso tempo, il problema è che è sottodimensionato, quindi a lungo andare puo' facilmente rompersi.
Comunque quello delle correnti max non è un valore da prendere per sbatterlo nei conti, è solo un numero indicativo della portata tipica massima suggeribile per quel componente. Stà al buon senso stare "un po' sotto" tale max, e questo lo faccio io come (spero) lo facciano i produttori di cellulari.
1
voti
Lo smartphone "conosce" la corrente massima che può assorbire un caricatore.
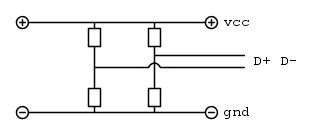
Il tutto grazie a due partitori di tensione posti tra v+ e GND che creano una differenza di potenziale sui pin DIGITAL + e DIGITAL -
I valori dipendono sensibilmente dalla casa (apple, sony, samsung).
Sto cercando codesti valori....appena trovati li posto
Il tutto grazie a due partitori di tensione posti tra v+ e GND che creano una differenza di potenziale sui pin DIGITAL + e DIGITAL -
I valori dipendono sensibilmente dalla casa (apple, sony, samsung).
Sto cercando codesti valori....appena trovati li posto
Alla fine, non ricorderemo le parole dei nostri nemici, ma i silenzi dei nostri amici.
Martin Luther King
Martin Luther King
-

thunderbolt128
1.640 1 8 13 - Expert

- Messaggi: 721
- Iscritto il: 4 set 2012, 13:57
0
voti
Eccola la tabella alla quale mi riferivo 
Alla fine, non ricorderemo le parole dei nostri nemici, ma i silenzi dei nostri amici.
Martin Luther King
Martin Luther King
-

thunderbolt128
1.640 1 8 13 - Expert

- Messaggi: 721
- Iscritto il: 4 set 2012, 13:57
0
voti
E' vero che una volta che la batteria è carica bisogna scollegare il caricatore il prima possibile per diminuire l'usura della batteria?
-

ultrasound91
318 2 4 6 - Disattivato su sua richiesta
- Messaggi: 700
- Iscritto il: 26 ago 2014, 21:02
32 messaggi
• Pagina 2 di 4 • 1, 2, 3, 4
Chi c’è in linea
Visitano il forum: Nessuno e 154 ospiti

Elettrotecnica e non solo (admin)
Un gatto tra gli elettroni (IsidoroKZ)
Esperienza e simulazioni (g.schgor)
Moleskine di un idraulico (RenzoDF)
Il Blog di ElectroYou (webmaster)
Idee microcontrollate (TardoFreak)
PICcoli grandi PICMicro (Paolino)
Il blog elettrico di carloc (carloc)
DirtEYblooog (dirtydeeds)
Di tutto... un po' (jordan20)
AK47 (lillo)
Esperienze elettroniche (marco438)
Telecomunicazioni musicali (clavicordo)
Automazione ed Elettronica (gustavo)
Direttive per la sicurezza (ErnestoCappelletti)
EYnfo dall'Alaska (mir)
Apriamo il quadro! (attilio)
H7-25 (asdf)
Passione Elettrica (massimob)
Elettroni a spasso (guidob)
Bloguerra (guerra)



