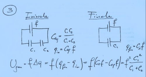
non capisco come ha fatto a trovare il circuito finale, perché ha tolto C2 e R??
Vi ringrazio anticipatamente per la risposta!

Moderatori:
g.schgor,
IsidoroKZ


Gabriele1991 ha scritto:perché ha tolto C2 e R??

Gabriele1991 ha scritto:in R non passa corrente per t>0?
Torna a Elettrotecnica generale
Visitano il forum: Nessuno e 48 ospiti