Anzi se qualcuno ha dei temi d'esame risolti e può passarmeli ben venga.
Allora il testo del problema è il seguente:
Si deve misurare l'altezza dell'acqua in 10 serbatoi del diametro di 10m allineati l'uno accanto all'altro ad una distanza di 5m l'uno dall'altro. Si impiega un sensore a galleggiante come in figura. Il potenziometro ha un'angolo di rotazione di 270°, un valore nominale di resistenza di 10k ed una corrispondenza angolo/resistenza entro 0,2°. Il galleggiante è a 20cm dal potenziometro. Il livello dell'acqua va da 16cm a 5cm. Si vuole misurare l'altezza dell'acqua con un'incertezza di 2,5mm. La misura deve essere eseguita su ciascun serbatoio ogni 500ms.
Progettare il sistema di misura necessario per eseguire la misura incluso il sistema di condizionamento discutendo gli effetti delle cause di influenza e gli accorgimenti per minimizzare questi effetti.
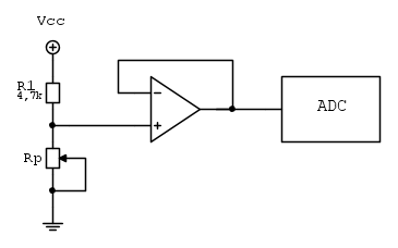
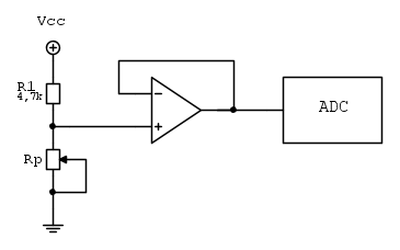
Io ho ipotizzato di usare questo semplice circuito:
Ora i calcoli
Scelgo

Calcolo la resistenza a 16cm e a 5cm:




Stessi calcoli per i 5 cm e ottengo:

Calcolo le tensioni dopo l'inseguitore di tensione:


Ora con un ADC 5V massimi posso scegliere tra:
ADC a 8bit ho N=256 e Q=19.53mV
ADC a 10bit ho N=1024 e Q=4.88mV
ADC a 12bit ho N=256 e Q=1.22mV
La scelta viene effettuata in base all'incertezza di 2,5mm...Considero che il livello può salire di 2,5mm quindi avrò
16cm+0.25 = 16.25cm a cui corrisponde




Ora la differenza tra

Posso tranquillamente mettere un ADC da 8bit in quanto una differenza di 2.5mm è in grado di rilevarla...
E' giusto il ragionamento che ho fatto? Esiste un modo migliore di approcciare il problema?

Elettrotecnica e non solo (admin)
Un gatto tra gli elettroni (IsidoroKZ)
Esperienza e simulazioni (g.schgor)
Moleskine di un idraulico (RenzoDF)
Il Blog di ElectroYou (webmaster)
Idee microcontrollate (TardoFreak)
PICcoli grandi PICMicro (Paolino)
Il blog elettrico di carloc (carloc)
DirtEYblooog (dirtydeeds)
Di tutto... un po' (jordan20)
AK47 (lillo)
Esperienze elettroniche (marco438)
Telecomunicazioni musicali (clavicordo)
Automazione ed Elettronica (gustavo)
Direttive per la sicurezza (ErnestoCappelletti)
EYnfo dall'Alaska (mir)
Apriamo il quadro! (attilio)
H7-25 (asdf)
Passione Elettrica (massimob)
Elettroni a spasso (guidob)
Bloguerra (guerra)




