Cos'è ElectroYou | Login Iscriviti

ElectroYou - la comunità dei professionisti del mondo elettrico

3 Esercizi di elettrotecnica

Circuiti, campi elettromagnetici e teoria delle linee di trasmissione e distribuzione dell’energia elettrica

Moderatori: Foto Utenteg.schgor, Foto UtenteIsidoroKZ

0
voti

[1] 3 Esercizi di elettrotecnica

Messaggioda Foto UtentePaoloCherubini » 15 giu 2017, 10:26

Buongiorno a tutti come prima cosa vorrei fare i complimenti al forum, interessantissimo e stimolante :D
Vorrei chiedere il vostro aiuto per risolvere questi 3 esercizi di elettrotecnica.
Grazie a tutti in anticipo
Allegati
esercizio 001.jpg
Avatar utente
Foto UtentePaoloCherubini
0 2
 
Messaggi: 1
Iscritto il: 15 giu 2017, 10:19

0
voti

[2] Re: 3 Esercizi di elettrotecnica

Messaggioda Foto UtenteGuerra » 15 giu 2017, 10:37

Ciao Paolo,
potresti abbozzare la tua soluzione, poi qualcuno la potrà correggere se non corretta.
"Le domande non sono mai indiscrete. Le risposte lo sono a volte"
Per qualche dollaro in più
Avatar utente
Foto UtenteGuerra
34,9k 7 11 13
G.Master EY
G.Master EY
 
Messaggi: 4790
Iscritto il: 14 apr 2010, 16:38

0
voti

[3] Re: 3 Esercizi di elettrotecnica

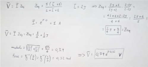
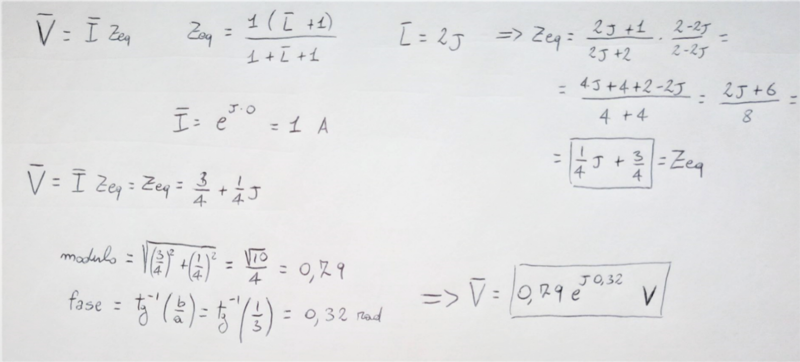
Messaggioda Foto Utentemarymarymary » 18 giu 2017, 14:10

Ciao PaoloCherubini :-)
so aiutarti solo con il primo esercizio :-)
Allegati
thevenin.PNG
Credo di aver svolto tutti i passaggi correttamente =)
Avatar utente
Foto Utentemarymarymary
15 4
New entry
New entry
 
Messaggi: 65
Iscritto il: 17 giu 2017, 17:47

0
voti

[4] Re: 3 Esercizi di elettrotecnica

Messaggioda Foto Utentemarymarymary » 18 giu 2017, 18:05

Eccomi di nuovo xD
Non avevo letto con attenzione la traccia... scusa :oops: :D
Allegati
3.png
2.png
Avatar utente
Foto Utentemarymarymary
15 4
New entry
New entry
 
Messaggi: 65
Iscritto il: 17 giu 2017, 17:47


Torna a Elettrotecnica generale

Chi c’è in linea

Visitano il forum: Nessuno e 147 ospiti