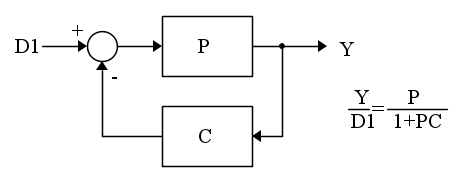
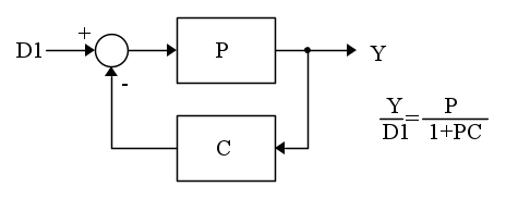
Salve a tutti. L'esercizio che sto affrontando (schema a blocchi in allegato) richiede il calcolo della FDT fra il disturbo d1 e l'uscita. Potreste dirmi come si ricava in modo tale da non avere più problemi anche con i prossimi esercizi?
Grazie anticipatamente
Calcolo di una FDT tra un nodo sommatore e l'uscita
Moderatori:
carloc,
g.schgor,
BrunoValente,
IsidoroKZ
10 messaggi
• Pagina 1 di 1
2
voti
La regola è la seguente: al numeratore si scrive il prodotto delle funzioni di trasferimento tra l'ingresso e l'uscita, al denominatore si scrive
, ove quest'ultima è la funzione d'anello. In questo caso

te lo dimostro così. Puoi scrivere l'uscita come

portando Y a sinistra ottieni la prima formula.
, ove quest'ultima è la funzione d'anello. In questo caso
te lo dimostro così. Puoi scrivere l'uscita come

portando Y a sinistra ottieni la prima formula.
0
voti
Ti ringrazio. Solo altre due cose. Intanto vorrei chiederti come ottieni questa equazione:

E poi, guardando sempre quello schema a blocchi, quale sarebbe la FDT stavolta fra il disturbo D2 e l'uscita.
Grazie ancora

E poi, guardando sempre quello schema a blocchi, quale sarebbe la FDT stavolta fra il disturbo D2 e l'uscita.
Grazie ancora
0
voti
L'uscita
- essendo
- corrisponde a quella di
, avente come ingresso la somma di
e l'uscita di
, il quale ha a sua volta come ingresso soltanto
, essendo
nullo. Se converti il precedente periodo in formule otterrai la formula che ho scritto nella precedente risposta
Come allenamento proponi una soluzione per la f.d.t. di
alla luce di quanto ti ho scritto.
- essendo
- corrisponde a quella di
, avente come ingresso la somma di
e l'uscita di
, il quale ha a sua volta come ingresso soltanto
, essendo
nullo. Se converti il precedente periodo in formule otterrai la formula che ho scritto nella precedente risposta Come allenamento proponi una soluzione per la f.d.t. di
alla luce di quanto ti ho scritto.0
voti
gac ha scritto:nics992 ha scritto:
ilfinale è sbagliato. Si ha
al suo posto.
Si scusami ho sbagliato a scrivere. Potresti spiegarmi il ragionamento per arrivare a questa equazione? Grazie
0
voti
Avresti per caso qualche documento da postarmi dove poter imparare queste cose?
8
voti
Queste cose si fanno bene "ad occhio"
o per meglio dire graficamente.
Ad esempio prendiamo il tuo sistema
e pensiamo di voler calcolare il guadagno al disturbo D1.
Prima di tutto azzeriamo gli altri ingressi (il sistema è lineare/izzato
)
Poi il -1 al sommatore in ingresso lo "spostiamo" attraverso il blocco C (in pratica usiamo la proprietà commutativa della moltiplicazione) fino a portarlo al sommatore di D1.
All'uscita invece notiamo sommare zero all'uscita del blocco P non è che serva a qualcosa
... e buttiamo il sommatore orfano di D2.
Otteniamo questo
che è già un sistema in forma canonica...
ma che risulta comunque più chiaro risistemando i blocchi così:
dove è assolutamente immediato calcolare Y/D1.
Questo, e molto altro in verità, si chiama algebra dei blocchi ed una cosa molto utile
Ad esempio prendiamo il tuo sistema
e pensiamo di voler calcolare il guadagno al disturbo D1.
Prima di tutto azzeriamo gli altri ingressi (il sistema è lineare/izzato
Poi il -1 al sommatore in ingresso lo "spostiamo" attraverso il blocco C (in pratica usiamo la proprietà commutativa della moltiplicazione) fino a portarlo al sommatore di D1.
All'uscita invece notiamo sommare zero all'uscita del blocco P non è che serva a qualcosa
Otteniamo questo
che è già un sistema in forma canonica...
ma che risulta comunque più chiaro risistemando i blocchi così:
dove è assolutamente immediato calcolare Y/D1.
Questo, e molto altro in verità, si chiama algebra dei blocchi ed una cosa molto utile
Se ti serve il valore di beta: hai sbagliato il progetto!
10 messaggi
• Pagina 1 di 1
Chi c’è in linea
Visitano il forum: Nessuno e 259 ospiti

Elettrotecnica e non solo (admin)
Un gatto tra gli elettroni (IsidoroKZ)
Esperienza e simulazioni (g.schgor)
Moleskine di un idraulico (RenzoDF)
Il Blog di ElectroYou (webmaster)
Idee microcontrollate (TardoFreak)
PICcoli grandi PICMicro (Paolino)
Il blog elettrico di carloc (carloc)
DirtEYblooog (dirtydeeds)
Di tutto... un po' (jordan20)
AK47 (lillo)
Esperienze elettroniche (marco438)
Telecomunicazioni musicali (clavicordo)
Automazione ed Elettronica (gustavo)
Direttive per la sicurezza (ErnestoCappelletti)
EYnfo dall'Alaska (mir)
Apriamo il quadro! (attilio)
H7-25 (asdf)
Passione Elettrica (massimob)
Elettroni a spasso (guidob)
Bloguerra (guerra)



finale è sbagliato. Si ha 




