Cos'è ElectroYou | Login Iscriviti

ElectroYou - la comunità dei professionisti del mondo elettrico

Fase di una funzione di trasferimento negativa nell'origine

Elettronica lineare e digitale: didattica ed applicazioni

Moderatori: Foto Utentecarloc, Foto Utenteg.schgor, Foto UtenteBrunoValente, Foto UtenteIsidoroKZ

0
voti

[1] Fase di una funzione di trasferimento negativa nell'origine

Messaggioda Foto UtentePatras » 7 feb 2018, 18:25

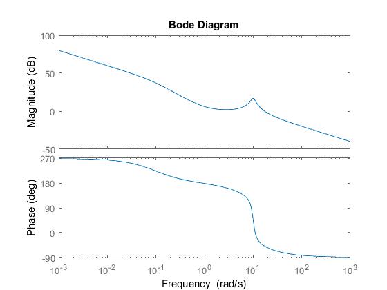
Ciao a tutti! Vi chiedo di aiutarmi per favore con il mio dubbio. Sto facendo il diagramma di Bode della seguente funzione:
G(s)=10\frac{(s^2+1)(s-10)}{s(s+0.1)(s^2+2s+100)}

La funzione è negativa in 0^+ perché tende a -\infty
(è dovuto a quello zero instabile in +10 che a sua volta chiaramente ha fase che scende invece di salire essendo instabile)
Di conseguenza la fase che arriva dall'origine non è più come nel caso positivo -90°ma ora -90°-180°=270°.
Fin qui ci sono, poi non capisco perché anche quel zero complesso in \pm j che vedete al numeratore dà un contributo di fase decrescente cioè -180° invece di +180° come dovrebbe avvenire per gli zeri.
(vi allego il diagramma di Bode sotto, da notare in 10^0 -180°)
DiagrammaBode.jpg


Questo è dovuto per caso al fatto che la parte reale degli zeri complessi è nulla?
Posso quindi concludere che per ogni zero o polo a parte reale nulla, il contributo di fase che dà è quello del caso positivo - 180° se la funzione di trasferimento è negativa nell'origine ?
Avatar utente
Foto UtentePatras
51 1 7
Utente disattivato per decisione dell'amministrazione proprietaria del sito
 
Messaggi: 131
Iscritto il: 24 mag 2017, 15:27

1
voti

[2] Re: Fase di una funzione di trasferimento negativa nell'orig

Messaggioda Foto Utentejayeffe » 8 feb 2018, 15:33

Patras, giusto poco fa Ne ho messa una simile, comunque quando lo zero è positivo mi trovo che il comportamento cambia in fase, cioè anzichè salire, scendi, ma cosi facendo anche io non mi trovo con la pendenza .
Matlab mi fa partire da -180
Avatar utente
Foto Utentejayeffe
51 1 3 7
Frequentatore
Frequentatore
 
Messaggi: 299
Iscritto il: 27 apr 2017, 15:28

0
voti

[3] Re: Fase di una funzione di trasferimento negativa nell'orig

Messaggioda Foto UtentePatras » 8 feb 2018, 17:20

jayeffe ha scritto:ma cosi facendo anche io non mi trovo con la pendenza .
Matlab mi fa partire da -180


Grazie per la risposta. In che punto esattamente non ti trovi anche tu che non l'ho capito?
In ogni caso il discorso dei poli/zeri a parte reale positiva mi è chiaro nel senso che essendo instabili i loro andamenti in fase sono contrari rispetto a quelli stabili.

Non mi è chiarissimo invece il discorso degli altri poli/zeri in gioco che hanno parte reale nulla perché vedo che c'è una dipendenza dagli altri instabili se ci sono, ma non credo sia proprio legata a loro ma al comportamento della funzione nell'origine che diventa negativa (in questo caso mio) e forse questo influisce. Non lo so nemmeno io esattamente, c'è ancora il tuo thread?
Avatar utente
Foto UtentePatras
51 1 7
Utente disattivato per decisione dell'amministrazione proprietaria del sito
 
Messaggi: 131
Iscritto il: 24 mag 2017, 15:27

0
voti

[4] Re: Fase di una funzione di trasferimento negativa nell'orig

Messaggioda Foto Utentejayeffe » 8 feb 2018, 17:30

Il tuo grafico non l'ho visto io ho pubblicato un diagramma simile dove non mi trovo nella fase iniziale, cioe come si calcola..
infatti partivo da 0
Avatar utente
Foto Utentejayeffe
51 1 3 7
Frequentatore
Frequentatore
 
Messaggi: 299
Iscritto il: 27 apr 2017, 15:28

1
voti

[5] Re: Fase di una funzione di trasferimento negativa nell'orig

Messaggioda Foto Utentejayeffe » 8 feb 2018, 17:39

Dovrebbe essere che quando ho una funzione con un guadagno G(0) negativo dovrei partire da -180
Avatar utente
Foto Utentejayeffe
51 1 3 7
Frequentatore
Frequentatore
 
Messaggi: 299
Iscritto il: 27 apr 2017, 15:28

0
voti

[6] Re: Fase di una funzione di trasferimento negativa nell'orig

Messaggioda Foto UtentePatras » 8 feb 2018, 17:42

Ma hai ancora il dubbio? Posso dirti che se nell'origine ti veniva la funzione di trasferimento negativa non puoi partire da 0 nel tuo caso ma da 180° perché è l'angolo del semiasse dei numeri reali negativi.

Poi se parte da -180 è forse per questioni di comodità nel grafico, in realtà se ci pensi 180 e -180 coincidono , però il diagramma delle fasi viene diverso, sfasato di 360 (dove hai -90 ad esempio avresti 270).
Avatar utente
Foto UtentePatras
51 1 7
Utente disattivato per decisione dell'amministrazione proprietaria del sito
 
Messaggi: 131
Iscritto il: 24 mag 2017, 15:27

0
voti

[7] Re: Fase di una funzione di trasferimento negativa nell'orig

Messaggioda Foto UtentePatras » 8 feb 2018, 18:25

Mi sa che il grafico sopra è proprio sbagliato, è stato inserito dal prof. nella soluzione al compito per quello non volevo metterlo in dubbio ma a quanto pare usando Wolfram viene un grafico diverso, coincidente con la mia soluzione, in cui solo il polo reale nullo ha la fase che cambia rispetto al caso di G(0)>0, mentre la fase dello zero complesso a pulsazione 1 e parte reale nulla non cambia cioè sempre alza di +180 come nel caso di G(0)>0 e non -180 come nel grafico del prof. che usa MATLAB ma io non ce l'ho per provare. Non so se sia il software a fare questo, e quale tra i due lo faccia correttamente.
Allegati
Grafico.jpg
Grafico.jpg (34.97 KiB) Osservato 6682 volte
Avatar utente
Foto UtentePatras
51 1 7
Utente disattivato per decisione dell'amministrazione proprietaria del sito
 
Messaggi: 131
Iscritto il: 24 mag 2017, 15:27

1
voti

[8] Re: Fase di una funzione di trasferimento negativa nell'orig

Messaggioda Foto Utentejayeffe » 8 feb 2018, 18:29

Patras questo è il grafico di matlab , dovrei trovarmi se vuoi ti mando anche quello plottato a mano
Allegati
untitled.jpg
Avatar utente
Foto Utentejayeffe
51 1 3 7
Frequentatore
Frequentatore
 
Messaggi: 299
Iscritto il: 27 apr 2017, 15:28

0
voti

[9] Re: Fase di una funzione di trasferimento negativa nell'orig

Messaggioda Foto UtentePatras » 8 feb 2018, 18:34

Grazie ma a quanto pare forse ti sei dimenticato il secondo picco cioè lo zero complesso di (s^2+1)
----AGGIORNAMENTO--------
ci stavo riflettendo con un mio amico che ha anche MATLAB e ha fatto il grafico, che conferma la soluzione del prof. con uno sfasamento che ha scelto più comodo ma l'andamento complessivo è lo stesso.

Quindi non so cosa pensare. Spero che qualcuno di più esperto ci tolga questo dubbio.

MATLAB cambia al cambiare del segno di G(0) anche il segno dell'andamento della fase di quello zero complesso
a parte reale nulla.
Allegati
graficoo.jpg
Avatar utente
Foto UtentePatras
51 1 7
Utente disattivato per decisione dell'amministrazione proprietaria del sito
 
Messaggi: 131
Iscritto il: 24 mag 2017, 15:27

0
voti

[10] Re: Fase di una funzione di trasferimento negativa nell'orig

Messaggioda Foto Utentejayeffe » 8 feb 2018, 19:47

Patras mi spieghi che metodo usi per trovare la fase iniziale? io ho provato anche altri esercizi e non riesco a capire

Di conseguenza la fase che arriva dall'origine non è più come nel caso positivo -90°ma ora -90°-180°=270°.
Avatar utente
Foto Utentejayeffe
51 1 3 7
Frequentatore
Frequentatore
 
Messaggi: 299
Iscritto il: 27 apr 2017, 15:28

Prossimo

Torna a Elettronica generale

Chi c’è in linea

Visitano il forum: Nessuno e 35 ospiti