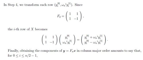
Non capisco in questo file quando dice che al step 4 praticamente deve trasformare la riga di dim 2 (credo che cosi arrivi al caso fondamentale). Non capisco come tira fuori questa matrice:

L'unica idea che mi viene in mente è che questa matrice sia
dove
è il prodotto degli indici che contano da zero mentre
è l'unità immaginaria ma non sono sicuro.. Vi allego anche il file completo:

Elettrotecnica e non solo (admin)
Un gatto tra gli elettroni (IsidoroKZ)
Esperienza e simulazioni (g.schgor)
Moleskine di un idraulico (RenzoDF)
Il Blog di ElectroYou (webmaster)
Idee microcontrollate (TardoFreak)
PICcoli grandi PICMicro (Paolino)
Il blog elettrico di carloc (carloc)
DirtEYblooog (dirtydeeds)
Di tutto... un po' (jordan20)
AK47 (lillo)
Esperienze elettroniche (marco438)
Telecomunicazioni musicali (clavicordo)
Automazione ed Elettronica (gustavo)
Direttive per la sicurezza (ErnestoCappelletti)
EYnfo dall'Alaska (mir)
Apriamo il quadro! (attilio)
H7-25 (asdf)
Passione Elettrica (massimob)
Elettroni a spasso (guidob)
Bloguerra (guerra)
- forse per convenzione si prende quella a parte reale negativa. In ogni caso torna il conto
vale

, grazie lo stesso che così rimane anche nel forum! Mi ero dimenticato di aggiungere la formula
.
pari a -1 come da calcolo.