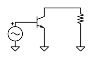
Salve, sto soffrendo cercando ad ogni costo di decifrare questo circuito, la domanda è : l'articolo dice che la dinamica sul collettore raddoppia grazie all'induttore e per questo l'efficienza è del 50 per cento rispetto al 25 per cento della classe A con carico resistivo (se ci fosse stato un resistore come carico invece dell'induttore rfC l'efficienza sarebbe stata del 25% e qui ci siamo visto che la tensione sul carico raddoppia grazie all'induttore che raddoppia la dinamica della tensione sul collettore e che finisce poi sulla resistenza di uscita visto che il condensatore è un cc), ma se alle frequenze di lavoro quindi alla frequenza del segnale di ingresso l'induttore RFC è un circuito aperto, cosi come dice l'articolo, come fa a circolare quella corrente positiva entrante nel collettore indicata nel grafico? quindi la corrente passa nell'induttore RFC e come fa a passare in RFC se quest'ultimo è un circuito aperto alla frequenza di lavoro? la corrente dovrebbe essere nulla e se fosse nulla il transistore sarebbe solo polarizzato in continua mentre alla frequenza di lavoro non potrebbe amplificare dato che in rfc non passa corrente! e poi cosa è di preciso un induttore RFC? L'articolo dice che grazie all'induttore invece del resistore la dinamica sul collettore raddoppia!
vi ringrazio anticipatamente per l'eventuale supporto
Ampliifcatore in classe A con carico induttivo
Moderatori:
carloc,
g.schgor,
BrunoValente,
IsidoroKZ
9 messaggi
• Pagina 1 di 1
0
voti
Ferma tutto.
Hai troppi concetti in mente, che parlano tutti assieme. Facciamo ordine:
1) RFC: Radio Frequency Choke (Induttore per radiofrequenza). Non è importante sapere con esattezza di che induttore stiamo parlando, al momento per noi è dotato di pura induttanza.
2) Dove hai trovato questo articolo? Affermare che un classe A puro come quello disegnato sia lineare, beh... è scorretto.
Il circuito può essere lineare "a piccolo segnale", ossia in un determinato intorno del punto di lavoro. L'articolo dice che l'induttore è in circuito aperto alle frequenze di lavoro, vediamo cosa significa: NON significa che sia effettivamente un circuito aperto! Ovviamente, se stacchiamo l'induttore durante il funzionamento del circuito, andiamo a spegnere tutto.
Ciò che fisicamente accade, *e questo: l'induttore continuerà a comportarsi da induttore, ossia integrando qualsiasi tensione continua ai suoi capi. La corrente di polarizzazione (continua, a frequenza nulla!) continuerà a scorrere alimentando il transistor, mentre la tensione alternata al collettore vede una impedenza verso Vcc crescente con la frequenza (da qui l'approssimazione di circuito aperto alla frequenza di lavoro).
Pensa all'induttore come a una molla di sospensione di un veicolo: percorrendo una strada molto accidentata, la molla seguirà fedelmente le asperità dell'asfalto, mantenendo però il veicolo sempre sollevato da terra. Ergo, il guidatore può dire di percepire impedenza nulla nei confronti della componente DC (l'altezza a riposo della sospensione), ma una impedenza elevata nei confronti delle asperità stradali.
È più chiaro ora?
Hai troppi concetti in mente, che parlano tutti assieme. Facciamo ordine:
1) RFC: Radio Frequency Choke (Induttore per radiofrequenza). Non è importante sapere con esattezza di che induttore stiamo parlando, al momento per noi è dotato di pura induttanza.
2) Dove hai trovato questo articolo? Affermare che un classe A puro come quello disegnato sia lineare, beh... è scorretto.
Il circuito può essere lineare "a piccolo segnale", ossia in un determinato intorno del punto di lavoro. L'articolo dice che l'induttore è in circuito aperto alle frequenze di lavoro, vediamo cosa significa: NON significa che sia effettivamente un circuito aperto! Ovviamente, se stacchiamo l'induttore durante il funzionamento del circuito, andiamo a spegnere tutto.
Ciò che fisicamente accade, *e questo: l'induttore continuerà a comportarsi da induttore, ossia integrando qualsiasi tensione continua ai suoi capi. La corrente di polarizzazione (continua, a frequenza nulla!) continuerà a scorrere alimentando il transistor, mentre la tensione alternata al collettore vede una impedenza verso Vcc crescente con la frequenza (da qui l'approssimazione di circuito aperto alla frequenza di lavoro).
Pensa all'induttore come a una molla di sospensione di un veicolo: percorrendo una strada molto accidentata, la molla seguirà fedelmente le asperità dell'asfalto, mantenendo però il veicolo sempre sollevato da terra. Ergo, il guidatore può dire di percepire impedenza nulla nei confronti della componente DC (l'altezza a riposo della sospensione), ma una impedenza elevata nei confronti delle asperità stradali.
È più chiaro ora?
Alberto.
1
voti
Per il segnale bisogna considerare l'induttore come un generatore di corrente costante, non un circuito aperto. Un generatore che fa circolare una corrente pari alla corrente a riposo nel transistore. Inoltre il condensatore è carico alla tensione di alimentazione, perché per la continua l'induttore è un pezzo di filo, un cortocircuito.
Per usare proficuamente un simulatore, bisogna sapere molta più elettronica di lui
Plug it in - it works better!
Il 555 sta all'elettronica come Arduino all'informatica! (entrambi loro malgrado)
Se volete risposte rispondete a tutte le mie domande
Plug it in - it works better!
Il 555 sta all'elettronica come Arduino all'informatica! (entrambi loro malgrado)
Se volete risposte rispondete a tutte le mie domande
0
voti
IsidoroKZ ha scritto:Per il segnale bisogna considerare l'induttore come un generatore di corrente costante, non un circuito aperto.
Posso chiedere un chiarimento, per favore?
Io ho sempre analizzato quel circuito, per il segnale, così:
Ho sempre commesso errori?
0
voti
Per il piccolo segnale va bene, ma così non puoi calcolare il rendimento, per il quale servono le tensioni e correnti complessive. Se trovo un po' di tempo provo a rispondere in dettaglio.
Per usare proficuamente un simulatore, bisogna sapere molta più elettronica di lui
Plug it in - it works better!
Il 555 sta all'elettronica come Arduino all'informatica! (entrambi loro malgrado)
Se volete risposte rispondete a tutte le mie domande
Plug it in - it works better!
Il 555 sta all'elettronica come Arduino all'informatica! (entrambi loro malgrado)
Se volete risposte rispondete a tutte le mie domande
0
voti
Il classe A in questione non ha una retroazione quindi si dopo che l'ampiezza di ingresso ha superato il limite di piccolo segnale il segnale in uscita inizierà a distorcere malamente quindi è lineare solo per piccolo segnale, comunque anche se l'induttore ha reattanza tale che il prodotto della pulsazione per la reattanza sia praticamente infinito nel filo dell'induttore che ha resistenza pressocche nulla, (anche se l'induttore è un ca nel suo filo pasa sicuramente corrente) nulla nel caso ideale, si ha passaggio di corrente quindi se immagino il BJT come un generatore di corrente e supponendo che la corrente che va nel BJT e nel filo dell'induttore al massimo sia pari a 2 I0 (e anche qui mi trovo visto che in un classe A il piccolo di corrente è il doppio di quello in polarizzazione continua), posso far e lo schemino in dinamica del BJT avente come carico solo RL, il condensatore ha reattanza tale da essere chiuso, la dinamica è doppia sul collettore solo se il carico di uscita RL ha valore tale da permettere cio' e non perché lo decida l'induttore e questa tensione ai capi di RL non si disperde sull'alimentazione dato che l'induttore e' un circuito aperto.
0
voti
Ianero anche io mi trovo, quello che hai dsiegnato è il circuito per l'analisi dinamica, l'induttore è un ca e non c'è, il condensatore è un cc, le alimentazioni sono poste a massa
0
voti
Quel circuito è stato impiegato in milioni di amplificatori a tubi termoionici, praticamente tutte le radio le fonovalige e i televisori.
L'induttanza presentava 2 avvolgimenti accoppiati per adattare l'impedenza dell'altoparlante.
L'induttanza presentava 2 avvolgimenti accoppiati per adattare l'impedenza dell'altoparlante.
9 messaggi
• Pagina 1 di 1
Chi c’è in linea
Visitano il forum: Nessuno e 62 ospiti

Elettrotecnica e non solo (admin)
Un gatto tra gli elettroni (IsidoroKZ)
Esperienza e simulazioni (g.schgor)
Moleskine di un idraulico (RenzoDF)
Il Blog di ElectroYou (webmaster)
Idee microcontrollate (TardoFreak)
PICcoli grandi PICMicro (Paolino)
Il blog elettrico di carloc (carloc)
DirtEYblooog (dirtydeeds)
Di tutto... un po' (jordan20)
AK47 (lillo)
Esperienze elettroniche (marco438)
Telecomunicazioni musicali (clavicordo)
Automazione ed Elettronica (gustavo)
Direttive per la sicurezza (ErnestoCappelletti)
EYnfo dall'Alaska (mir)
Apriamo il quadro! (attilio)
H7-25 (asdf)
Passione Elettrica (massimob)
Elettroni a spasso (guidob)
Bloguerra (guerra)








