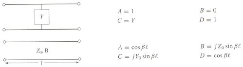
che considero sono l'ingresso dello stub quindi quello che entra prima del ramo parallelo a corto circuito (e perciò tengo conto delle correnti al nodo) mentre l'uscita
è la tensione sul carico, dopo tutta la distanza
. Ora la cosa strana che mi viene fuori è che rispetto a una qualsiasi linea con impedenza caratteristica di lunghezza L, qui l'aggiunta dello stub in ingresso va a cambiare il solo parametro C mentre gli altri rimangono identici. Secondo vuoi può essere così circa? (quella strana con la tangente è l'impedenza introdotta dallo stub che ha una lunghezza
mentre
è l'impedenza di carico). 
Per passaggi più dettagliati provo a scrivervi domani se ho tempo, spero riusciate a vedere anche così a occhio se qualcosa non torna. Questa matrice mi sarà utile successivamente per fare cose più complesse.

Elettrotecnica e non solo (admin)
Un gatto tra gli elettroni (IsidoroKZ)
Esperienza e simulazioni (g.schgor)
Moleskine di un idraulico (RenzoDF)
Il Blog di ElectroYou (webmaster)
Idee microcontrollate (TardoFreak)
PICcoli grandi PICMicro (Paolino)
Il blog elettrico di carloc (carloc)
DirtEYblooog (dirtydeeds)
Di tutto... un po' (jordan20)
AK47 (lillo)
Esperienze elettroniche (marco438)
Telecomunicazioni musicali (clavicordo)
Automazione ed Elettronica (gustavo)
Direttive per la sicurezza (ErnestoCappelletti)
EYnfo dall'Alaska (mir)
Apriamo il quadro! (attilio)
H7-25 (asdf)
Passione Elettrica (massimob)
Elettroni a spasso (guidob)
Bloguerra (guerra)


.






e lungo
, senza perdite


altro non è che
essendo, in questa equazionoe,
poiché lo stub è chiuso.


all'interno del sistema di equazioni:


