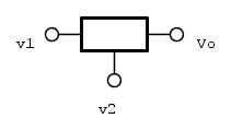
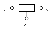
ingresso e
massa della rete mentre
è l'uscita. Non riesco a capire come viene ricavata
. Allora qui ho:
supponiamo di conoscere

allora quanto vale in relazione a esso
?Ho trovato scritto questo:
è come se applicando sia alla massa della rete che all'ingresso la stessa tensione
l'uscita diventasse automaticamente
. Questo non mi convince e non riesco a darmi una spiegazione, mi manca qualche commento inoltre vale sempre o solo per la rete di Scott? Per chi non si ricordasse o non sapesse cos'è la rete di Scott (serve per i filtri notch, ve la metto anche se la proprietà potrebbe non essere legata alla rete in se):

Elettrotecnica e non solo (admin)
Un gatto tra gli elettroni (IsidoroKZ)
Esperienza e simulazioni (g.schgor)
Moleskine di un idraulico (RenzoDF)
Il Blog di ElectroYou (webmaster)
Idee microcontrollate (TardoFreak)
PICcoli grandi PICMicro (Paolino)
Il blog elettrico di carloc (carloc)
DirtEYblooog (dirtydeeds)
Di tutto... un po' (jordan20)
AK47 (lillo)
Esperienze elettroniche (marco438)
Telecomunicazioni musicali (clavicordo)
Automazione ed Elettronica (gustavo)
Direttive per la sicurezza (ErnestoCappelletti)
EYnfo dall'Alaska (mir)
Apriamo il quadro! (attilio)
H7-25 (asdf)
Passione Elettrica (massimob)
Elettroni a spasso (guidob)
Bloguerra (guerra)





