aiuto con la teoria dei grafi
Moderatori:
g.schgor,
IsidoroKZ
0
voti
ok ma allora, il circuito non è risolvibile? a questo punto quello che ha scritto il prof non ha senso?
o semplicemente non si risolve con il teorema di thevenin?
o semplicemente non si risolve con il teorema di thevenin?
-

spacemoses00
30 2 - Messaggi: 34
- Iscritto il: 24 mar 2020, 20:03
1
voti
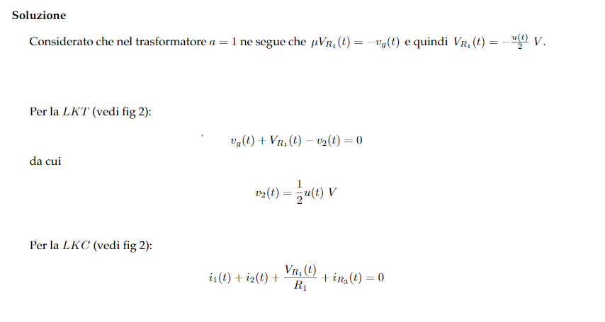
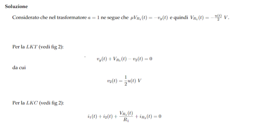
Certo, quello che ha scritto il tuo professore è semplicemente ERRATO, il circuito non può essere risolto in nessun modo a causa di quella incoerenza circuitale.
Cosa non ha "visto" il tuo professore, non avendo probabilmente sostituito il trasformatore come abbiamo fatto noi
Cosa non ha "visto" il tuo professore, non avendo probabilmente sostituito il trasformatore come abbiamo fatto noi
"Il circuito ha sempre ragione" (Luigi Malesani)
Torna a Elettrotecnica generale
Chi c’è in linea
Visitano il forum: Nessuno e 300 ospiti

Elettrotecnica e non solo (admin)
Un gatto tra gli elettroni (IsidoroKZ)
Esperienza e simulazioni (g.schgor)
Moleskine di un idraulico (RenzoDF)
Il Blog di ElectroYou (webmaster)
Idee microcontrollate (TardoFreak)
PICcoli grandi PICMicro (Paolino)
Il blog elettrico di carloc (carloc)
DirtEYblooog (dirtydeeds)
Di tutto... un po' (jordan20)
AK47 (lillo)
Esperienze elettroniche (marco438)
Telecomunicazioni musicali (clavicordo)
Automazione ed Elettronica (gustavo)
Direttive per la sicurezza (ErnestoCappelletti)
EYnfo dall'Alaska (mir)
Apriamo il quadro! (attilio)
H7-25 (asdf)
Passione Elettrica (massimob)
Elettroni a spasso (guidob)
Bloguerra (guerra)



.