Come si scrive l'equazione di conservazione della quantità di moto in direzione x?
E qual è il significato fisico di ogni termine che compone l'equazione?
Io conosco la scrittura dell'equazione generale, ma non riesco a capire come va scritta nella specifica direzione. Inoltre, cercando in rete è tutto molto confusionario su questo argomento
Grazie mille
Equazione di conservazione della quantità di moto
Moderatori:
IsidoroKZ,
PietroBaima,
Ianero
14 messaggi
• Pagina 1 di 2 • 1, 2
0
voti
Ti riferisci agli urti anelastici, in cui si conserva la quantità di moto ?
Guarda qui:
https://www.youmath.it/lezioni/fisica/d ... stici.html
Cerca poi urti elastici, in cui si conserva l'energia cinetica.
Guarda qui:
https://www.youmath.it/lezioni/fisica/d ... stici.html
Cerca poi urti elastici, in cui si conserva l'energia cinetica.
1
voti
Diciamo che sei in un caso piano, quindi ti muovi solo con le coordinate x e y, le velocità saranno vettori di componenti x e y (che puoi ricavare con un minimo di trigonometria se il vettore è in forma di modulo e angolo). La componente x della quantità di moto vale semplicemente m*vx
2
voti
Scusami sono stato troppo spiccio nella prima risposta; rispondo in modo più accurato per essere più chiaro:
Diciamo che sei in un caso piano, quindi ti muovi solo con le coordinate x e y, le velocità saranno vettori di componenti x e y (che puoi ricavare con un minimo di trigonometria se il vettore è in forma di modulo e angolo).
Chiamiamo il vettore delle velocità
,
la massa e
la quantità di moto;
come sai
, che scomposta nelle sue componenti x e y risulta:


La componente che tu stai cercando è proprio la
.
Se il tuo sistema è composto da
corpi rigidi, le relazioni che abbiamo scritto diventano semplicemente la somma di tutti i contributi di massa e velocità data da ciascun corpo, ovvero le singole quantità di moto:
che allo stesso modo di prima si può scrivere come 2 equazioni scalari (se siamo nel piano):


Supponiamo ora per semplicità che le masse siano solo 2,
ed
, ciascuna con una certa velocità iniziale
,
e che queste si urtino tra loro; dopo l'urto le due masse viaggiano alle rispettive velocità finali
,
: dalla teoria degli urti sappiamo che la quantità di moto COMPLESSIVA (
) si conserva sempre, ma la quantità di moto delle singole masse
varia (è come se le 2 masse si "scambiassero" la velocità "proporzionalmente alla loro massa"):
, quindi 
Supponiamo per il momento che le due masse rimangano invariate durante l'urto, avrai quindi che:
, e quindi:

Da questa equazione puoi tirarci fuori le componenti lungo x e lungo y come abbiamo fatto prima, trovando di fatto la conservazione della quantità di moto per le 2 direzioni. Se vuoi farlo nello spazio invece che nel piano basta aggiungere la componente z ai vettori, ma le equazioni vettoriali sempre quelle rimangono. Se le masse durante l'urto cambiano / si rompono in più parti / ecc.. basta utilizzare una versione generalizzata di quanto abbiamo appena visto: diciamo che si hanno
masse iniziali e
masse finali, sempre per
possiamo scrivere che:

In ultimo.. per risolvere questo tipo di problemi ti servono però altre informazioni sull'urto, che ti vincolino la velocità in un modo diverso (altrimenti non riesci a risolvere il problema perché hai troppe incognite); qui entra in gioco l'energia cinetica, che diminuisce in un urto anelastico a seguito della dissipazione energetica dovuta alla deformazione dei corpi, mentre non varia in un urto perfettamente elastico in cui i corpi non si deformano, ma questi sono altri discorsi.
Spero di esserti stato utile, e soprattutto di essere stato chiaro. Ciao :)
Diciamo che sei in un caso piano, quindi ti muovi solo con le coordinate x e y, le velocità saranno vettori di componenti x e y (che puoi ricavare con un minimo di trigonometria se il vettore è in forma di modulo e angolo).
Chiamiamo il vettore delle velocità
,
la massa e
la quantità di moto; come sai
, che scomposta nelle sue componenti x e y risulta:

La componente che tu stai cercando è proprio la
. Se il tuo sistema è composto da
corpi rigidi, le relazioni che abbiamo scritto diventano semplicemente la somma di tutti i contributi di massa e velocità data da ciascun corpo, ovvero le singole quantità di moto:
che allo stesso modo di prima si può scrivere come 2 equazioni scalari (se siamo nel piano):


Supponiamo ora per semplicità che le masse siano solo 2,
ed
, ciascuna con una certa velocità iniziale
,
e che queste si urtino tra loro; dopo l'urto le due masse viaggiano alle rispettive velocità finali
,
: dalla teoria degli urti sappiamo che la quantità di moto COMPLESSIVA (
) si conserva sempre, ma la quantità di moto delle singole masse
varia (è come se le 2 masse si "scambiassero" la velocità "proporzionalmente alla loro massa"):
, quindi 
Supponiamo per il momento che le due masse rimangano invariate durante l'urto, avrai quindi che:
, e quindi: 
Da questa equazione puoi tirarci fuori le componenti lungo x e lungo y come abbiamo fatto prima, trovando di fatto la conservazione della quantità di moto per le 2 direzioni. Se vuoi farlo nello spazio invece che nel piano basta aggiungere la componente z ai vettori, ma le equazioni vettoriali sempre quelle rimangono. Se le masse durante l'urto cambiano / si rompono in più parti / ecc.. basta utilizzare una versione generalizzata di quanto abbiamo appena visto: diciamo che si hanno
masse iniziali e
masse finali, sempre per
possiamo scrivere che: 
In ultimo.. per risolvere questo tipo di problemi ti servono però altre informazioni sull'urto, che ti vincolino la velocità in un modo diverso (altrimenti non riesci a risolvere il problema perché hai troppe incognite); qui entra in gioco l'energia cinetica, che diminuisce in un urto anelastico a seguito della dissipazione energetica dovuta alla deformazione dei corpi, mentre non varia in un urto perfettamente elastico in cui i corpi non si deformano, ma questi sono altri discorsi.
Spero di esserti stato utile, e soprattutto di essere stato chiaro. Ciao :)
0
voti
Allora, ti ringrazio molto, ed è tutto davvero chiaro e molto utile. Quindi a prescindere da quello che sto per scrivere, cercherò di assimilare tutto per bene perché sono cose utili ed importanti.
In ogni caso (ripeto, a prescindere dalla grande utilità della tua spiegazione), non so se è esattamente quello che intendevo. Ma non sono un esperto di fisica, quindi non vorrei dire stupidaggini...
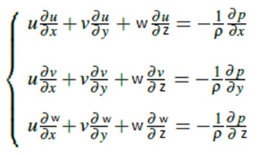
Ti mostro l'equazione di conservazione della quantità di moto (generale) che intendevo:
Ad esempio, per fluidi incomprimibili (∇ • V = 0) l'equazione generale è:
rho=densità p=pressione V=vettore velocità f=forze di volume
E la precedente equazione scritta nelle tre direzioni x, y e z del vettore velocità V, dovrebbe essere indicativamente:
ATTENZIONE!!!: Ovviamente non sono sicuro della correttezza delle equazioni scritte nelle varie direzioni, altrimenti non avrei chiesto aiuto sul forum. NON prendetele per buone!!! Non vorrei far sbagliare qualcuno!
Detto questo, stiamo parlando della stessa cosa quindi? Oppure sono cose differenti?
In ogni caso (ripeto, a prescindere dalla grande utilità della tua spiegazione), non so se è esattamente quello che intendevo. Ma non sono un esperto di fisica, quindi non vorrei dire stupidaggini...
Ti mostro l'equazione di conservazione della quantità di moto (generale) che intendevo:
Ad esempio, per fluidi incomprimibili (∇ • V = 0) l'equazione generale è:
rho=densità p=pressione V=vettore velocità f=forze di volume
E la precedente equazione scritta nelle tre direzioni x, y e z del vettore velocità V, dovrebbe essere indicativamente:
ATTENZIONE!!!: Ovviamente non sono sicuro della correttezza delle equazioni scritte nelle varie direzioni, altrimenti non avrei chiesto aiuto sul forum. NON prendetele per buone!!! Non vorrei far sbagliare qualcuno!
Detto questo, stiamo parlando della stessa cosa quindi? Oppure sono cose differenti?
Ultima modifica di
wall87 il 3 apr 2021, 14:04, modificato 2 volte in totale.
Motivazione: Eliminata citazione integrale del messaggio precedente e rimosse immagini a link esterni.
Motivazione: Eliminata citazione integrale del messaggio precedente e rimosse immagini a link esterni.
-

Nicolocarosio
0 2 - Messaggi: 4
- Iscritto il: 2 nov 2020, 21:22
2
voti
Accidenti direi che sono decisamente cose differenti! Tu stavi parlando di fluidi nello spazio, io di sistemi di corpi rigidi nel piano. Diciamo che in realtà "alla fine" ci dicono la stessa cosa, ma tu stai parlando niente meno che delle equazioni di Navier Stokes! Non mi sento in grado di spiegarti quello di cui hai bisogno perché è un argomento che non ho mai approfondito particolarmente bene; lo studio volentieri, e se ci capisco qualcosa provo ad aiutarti ma qui lascio la parola a chi ne sa più di me.
Da quello che vedo scritto ti dico però occhio, perché nella prima formula hai le accelerazioni (derivate delle velocità nel tempo) (in pratica è la 2° legge di Newton), mentre in quella che hai scritto dopo hai derivate nello spazio; il passaggio è parecchio delicato, e così a occhio non è per niente una "semplice riscrittura", ma ci sono di mezzo diversi passaggi delicati da affrontare.
Da quello che vedo scritto ti dico però occhio, perché nella prima formula hai le accelerazioni (derivate delle velocità nel tempo) (in pratica è la 2° legge di Newton), mentre in quella che hai scritto dopo hai derivate nello spazio; il passaggio è parecchio delicato, e così a occhio non è per niente una "semplice riscrittura", ma ci sono di mezzo diversi passaggi delicati da affrontare.
Ultima modifica di
Frenzi il 3 apr 2021, 14:34, modificato 1 volta in totale.
0
voti
Vale anche per me. L'intuito mi dice (e grazie: ho la dimostrazione sotto gli occhi sull'altro monitor) che è la stessa legge espressa in termini differenti ma fatico a leggere i vari termini in modo istintivo con l'"occhio". Proverò a rileggere la dimostrazione... :/
1
voti
Nicolocarosio ha scritto:Ad esempio, per fluidi incomprimibili (∇ • V = 0) l'equazione generale è:
Se a primo membro è una derivata, va indicata con d minuscolo.
Inoltre posso sbagliare ma nabla quadro è un operatore scalare e non si può sommare a termini vettoriali.
0
voti
EcoTan ha scritto:Se a primo membro è una derivata, va indicata con d minuscolo.
Secondo me sta solo ad indicare che è la derivata di un vettore
0
voti
Capisco tutto quanto avete detto.
Se qualcuno sapesse spiegarmi tutto sulle equazioni che ho mostrato nell'immagine, allo stesso modo di come è stato fatto per la conservazione del moto dei corpi rigidi nel piano, mi sarebbe di grande aiuto.
Ma, a questo punto, supponendo che le equazioni di Navier Stokes nelle tre direzioni che ho mostrato siano corrette (mi interessa in linea di massima, anche se non sono del tutto corrette), ogni membro che le compone, oltre che ad un senso matematico, dovrebbe avere un significato fisico. Qualcuno saprebbe indicarmelo?
Se qualcuno sapesse spiegarmi tutto sulle equazioni che ho mostrato nell'immagine, allo stesso modo di come è stato fatto per la conservazione del moto dei corpi rigidi nel piano, mi sarebbe di grande aiuto.
Ma, a questo punto, supponendo che le equazioni di Navier Stokes nelle tre direzioni che ho mostrato siano corrette (mi interessa in linea di massima, anche se non sono del tutto corrette), ogni membro che le compone, oltre che ad un senso matematico, dovrebbe avere un significato fisico. Qualcuno saprebbe indicarmelo?
-

Nicolocarosio
0 2 - Messaggi: 4
- Iscritto il: 2 nov 2020, 21:22
14 messaggi
• Pagina 1 di 2 • 1, 2
Chi c’è in linea
Visitano il forum: Nessuno e 5 ospiti

Elettrotecnica e non solo (admin)
Un gatto tra gli elettroni (IsidoroKZ)
Esperienza e simulazioni (g.schgor)
Moleskine di un idraulico (RenzoDF)
Il Blog di ElectroYou (webmaster)
Idee microcontrollate (TardoFreak)
PICcoli grandi PICMicro (Paolino)
Il blog elettrico di carloc (carloc)
DirtEYblooog (dirtydeeds)
Di tutto... un po' (jordan20)
AK47 (lillo)
Esperienze elettroniche (marco438)
Telecomunicazioni musicali (clavicordo)
Automazione ed Elettronica (gustavo)
Direttive per la sicurezza (ErnestoCappelletti)
EYnfo dall'Alaska (mir)
Apriamo il quadro! (attilio)
H7-25 (asdf)
Passione Elettrica (massimob)
Elettroni a spasso (guidob)
Bloguerra (guerra)






