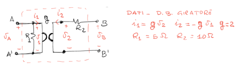
Innanzitutto l'esercizio richiede di calcolare la matrice delle conduttanze.
Inizialmente mi calcolo
e
per fare ciò inizio effettuando il trasporto al primario di
e mi ritrovo che la resistenza
da cui poi
e poi
(giusto? voglio essere sicuro al 100% di star facendo bene)Dopo mi calcolo
che mi ritrovo essere pari a 0 perché
e quindi
.Detto questo il mio dubbio riguarda il calcolo di
. In un primo momento ho pensato che questa sia pari a
in quanto essendo cortocircuitata
allora
. Successivamente riguardando lo schema ho pensato che la tensione del gen possa essere uguale a
e sapendo che
allora
. È giusta il primo o il secondo calcolo di
?(o nessuno dei due?)Vi ringrazio anticipatamente per la risposta

Elettrotecnica e non solo (admin)
Un gatto tra gli elettroni (IsidoroKZ)
Esperienza e simulazioni (g.schgor)
Moleskine di un idraulico (RenzoDF)
Il Blog di ElectroYou (webmaster)
Idee microcontrollate (TardoFreak)
PICcoli grandi PICMicro (Paolino)
Il blog elettrico di carloc (carloc)
DirtEYblooog (dirtydeeds)
Di tutto... un po' (jordan20)
AK47 (lillo)
Esperienze elettroniche (marco438)
Telecomunicazioni musicali (clavicordo)
Automazione ed Elettronica (gustavo)
Direttive per la sicurezza (ErnestoCappelletti)
EYnfo dall'Alaska (mir)
Apriamo il quadro! (attilio)
H7-25 (asdf)
Passione Elettrica (massimob)
Elettroni a spasso (guidob)
Bloguerra (guerra)

per risalire alla
, la corrente che attraversa
per risalire alla corrente della porta A-A' e il gioco e' fatto.