Buonasera.
Spero sia la sezione giusta.
Sto cercando di familiarizzare con Scilab ma incontro qualche problema. Spero nell'aiuto di qualcuno.
Allora, mi sono posto, inizialmente, il problema di far eseguire a Scilab i due diagrammi di Bode (modulo e fase). della rete correttrice di figura.
Analisi di una rete correttrice con Scilab
Moderatori:
carloc,
g.schgor,
BrunoValente,
IsidoroKZ
0
voti
Poi ho "chiesto" a Scilab di visualizzare i due diagrammi ed ho ottenuto quanto mostrato nella figura successiva.
Il diagramma della fase mi torna. Qualitativamente, anche quello del modulo mi torna. Ma quando vado ad ispezionare il grafico non mi tornano i valori.
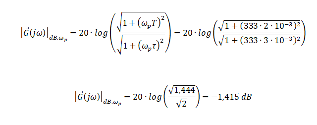
In pratica, sia in corrispondenza del polo, 333 rad/s, che dello zero, 500 rad/s, l'esito dei calcoli analitici, eseguiti a mano, è difforme da quanto riportato sul grafico.
Più in particolare, in corrispondenza del polo, ottengo -1,415 dB; mentre, ispezionando il grafico, leggo circa -0,6 dB.
Qualche idea?
Grazie
Il diagramma della fase mi torna. Qualitativamente, anche quello del modulo mi torna. Ma quando vado ad ispezionare il grafico non mi tornano i valori.
In pratica, sia in corrispondenza del polo, 333 rad/s, che dello zero, 500 rad/s, l'esito dei calcoli analitici, eseguiti a mano, è difforme da quanto riportato sul grafico.
Più in particolare, in corrispondenza del polo, ottengo -1,415 dB; mentre, ispezionando il grafico, leggo circa -0,6 dB.
Qualche idea?
Grazie
0
voti
Prova a porre R2 = 1 ohm, un valore molto basso.
Dovresti avere un solo polo a 1/(R1xC) = 10^6/(100x10) = 1000 rad/s alla cui pulsazione hai -3 dB, verifica il grafico.
Dovresti avere un solo polo a 1/(R1xC) = 10^6/(100x10) = 1000 rad/s alla cui pulsazione hai -3 dB, verifica il grafico.
0
voti
A completamento di quanto scritto sopra, indico anche i comandi che ho immesso nella console per ottenere quei grafici. Nel penultimo comando ho chiesto a Scilab una variazione di scala. Probabilmente, il mio errore deve essere in uno di tali comandi.
Ancora grazie a chi vorrà illuminarmi.
Ancora grazie a chi vorrà illuminarmi.
- Allegati
-
- fig3.png (7.61 KiB) Osservato 5117 volte
0
voti
Grazie Marco, ho provato il tuo suggerimento.
Ed in effetti, come atteso, in corrispondenza di 1000 rad/s ho circa - 3 dB e -45° di sfasamento.
Quindi il programma dovrebbe funzionare.
Ma allora, per la rete proposta?
Ed in effetti, come atteso, in corrispondenza di 1000 rad/s ho circa - 3 dB e -45° di sfasamento.
Quindi il programma dovrebbe funzionare.
Ma allora, per la rete proposta?
0
voti
l'esito dei calcoli analitici, eseguiti a mano, è difforme da quanto riportato sul grafico. Più in particolare, in corrispondenza del polo, ottengo -1,415 dB; mentre, ispezionando il grafico, leggo circa -0,6 dB.
Potresti aver sbagliato i calcoli analitici. Mostrali.
0
voti
Nell'immagine c'è la fdt della rete, indicata con C, e le costanti di tempo di zero e di polo.
Il resto dei calcoli l'ho fatti a mano. Ora li metto in forma "pubblicabile".
Il resto dei calcoli l'ho fatti a mano. Ora li metto in forma "pubblicabile".
0
voti
Qui, invece, trovi il valore delle costanti di tempo relative allo zero e al polo. A seguire, le corrispondenti pulsazioni di zero e di polo. Dall'analisi dei valori, inoltre, possiamo osservare che il polo viene prima dello zero (e questo, nel grafico, è visibile).
- Allegati
-
- fig6.png (7.08 KiB) Osservato 5092 volte
0
voti
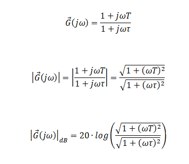
La fdt della rete è quella indicata in figura. Segue, trattandosi di un numero complesso, il modulo di questa e, terza formula, il modulo in dB. Quest'ultimo è necessario in quanto il diagramma di Bode del modulo è in dB.
- Allegati
-
- fig7.png (9.1 KiB) Osservato 5090 volte
Chi c’è in linea
Visitano il forum: Nessuno e 130 ospiti

Elettrotecnica e non solo (admin)
Un gatto tra gli elettroni (IsidoroKZ)
Esperienza e simulazioni (g.schgor)
Moleskine di un idraulico (RenzoDF)
Il Blog di ElectroYou (webmaster)
Idee microcontrollate (TardoFreak)
PICcoli grandi PICMicro (Paolino)
Il blog elettrico di carloc (carloc)
DirtEYblooog (dirtydeeds)
Di tutto... un po' (jordan20)
AK47 (lillo)
Esperienze elettroniche (marco438)
Telecomunicazioni musicali (clavicordo)
Automazione ed Elettronica (gustavo)
Direttive per la sicurezza (ErnestoCappelletti)
EYnfo dall'Alaska (mir)
Apriamo il quadro! (attilio)
H7-25 (asdf)
Passione Elettrica (massimob)
Elettroni a spasso (guidob)
Bloguerra (guerra)


