sto cercando di svolgere la seguente traccia:
Studiare la funzione

Tracciandone il grafico approssimato
Nota: si può studiare anche senza conoscere il segno della derivata prima, ma usando quello della derivata seconda
Ho provveduto a calcolare la derivata prima ottenendo

Come indicato nella traccia viene consigliato di usare il segno della derivata seconda per lo studio della funzione.
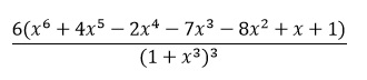
Calcolando la derivata seconda viene fuori questo:
L'impressione è che anziché semplificare, la derivata seconda complichi le cose e non riesco quindi a procedere con lo studio della concavità e convessità della funzione.
Ho commesso qualche errore?
Se no, siccome devo svolgere altri esercizi simili, volevo chiedervi qual è la logica con cui procedere con lo studio di funzioni in situazioni come questa. C'è un modo per semplificare la derivata seconda e renderla utilizzabile?

Elettrotecnica e non solo (admin)
Un gatto tra gli elettroni (IsidoroKZ)
Esperienza e simulazioni (g.schgor)
Moleskine di un idraulico (RenzoDF)
Il Blog di ElectroYou (webmaster)
Idee microcontrollate (TardoFreak)
PICcoli grandi PICMicro (Paolino)
Il blog elettrico di carloc (carloc)
DirtEYblooog (dirtydeeds)
Di tutto... un po' (jordan20)
AK47 (lillo)
Esperienze elettroniche (marco438)
Telecomunicazioni musicali (clavicordo)
Automazione ed Elettronica (gustavo)
Direttive per la sicurezza (ErnestoCappelletti)
EYnfo dall'Alaska (mir)
Apriamo il quadro! (attilio)
H7-25 (asdf)
Passione Elettrica (massimob)
Elettroni a spasso (guidob)
Bloguerra (guerra)








e 



pigreco]=π


