Buonasera, sto affrontando le giunzioni a microonde, le quali si possono studiare tramite matrice di scattering.
A tal proposito ho letto che gli elementi della matrice godono di particolari proprietà per lo studio della giunzione, sin ora ho trovato solo che gli elementi della diagonale principale sono i coefficienti di riflessione delle rispettive porte quando tutte le altre porte sono chiuse sulle rispettive impedenze di riferimento.
Sapreste indicarmi quali sono le altre?
Proprietà degli elementi della matrice di scattering
Moderatori:
carloc,
g.schgor,
BrunoValente,
IsidoroKZ
8 messaggi
• Pagina 1 di 1
3
voti
Had3s ha scritto:Sapreste indicarmi quali sono le altre?
Gli altri sono i coefficienti di trasmissione, diretta o inversa dipende dalla porta di riferimento.
Cerca HP AN 95, è una vecchia application notes della HP.
Edit: https://www.hpmemoryproject.org/an/pdf/an_95-a.pdf
0
voti
Grazie
gvee , un'altra cosa, ci sono dei casi particolari in cui la matrice è simmetrica oppure gli elementi sono tutti immagnari puri.
Uno di questi è quando la rete è reciproca, ma che significa in concreto?
Ce ne sono altri?
Uno di questi è quando la rete è reciproca, ma che significa in concreto?
Ce ne sono altri?
0
voti
Had3s ha scritto:Uno di questi è quando la rete è reciproca, ma che significa in concreto?
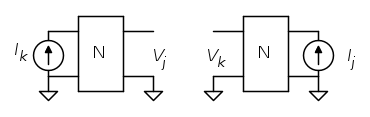
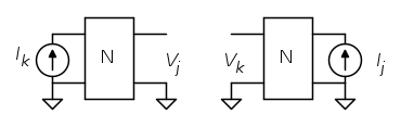
Non sono un professore, ma supponendo una rete
a 2 porte, questa è reciproca se è intercambiando le eccitazioni come ad esempio nello schema (eccitazione con generatore di corrente):si ha che:

Ovviamente la definizione può essere estesa per reti a n porte.
Cosa stai studiando e su quale libro? Queste definizioni non sono presenti nel tuo materiale di studio?
0
voti
Had3s ha scritto:Grazie ancoragvee, sto usando delle dispense trovate in rete e un libro "Microwave engineering" di David M. Pozar.
E cosa ne pensi del libro "Ingegneria delle microonde" di David M. Pozar? Vale la pena leggerlo?
-

frances86valli
5 1 - Messaggi: 6
- Iscritto il: 25 gen 2025, 0:54
1
voti
Non conosco la versione tradotta. Studio solo su libri di testo in inglese, a meno che l'autore sia italiano ed il libro italiano ne valga la pena, p.e. quello di analogica di Leopoldo Rossetto.
8 messaggi
• Pagina 1 di 1
Chi c’è in linea
Visitano il forum: Nessuno e 41 ospiti

Elettrotecnica e non solo (admin)
Un gatto tra gli elettroni (IsidoroKZ)
Esperienza e simulazioni (g.schgor)
Moleskine di un idraulico (RenzoDF)
Il Blog di ElectroYou (webmaster)
Idee microcontrollate (TardoFreak)
PICcoli grandi PICMicro (Paolino)
Il blog elettrico di carloc (carloc)
DirtEYblooog (dirtydeeds)
Di tutto... un po' (jordan20)
AK47 (lillo)
Esperienze elettroniche (marco438)
Telecomunicazioni musicali (clavicordo)
Automazione ed Elettronica (gustavo)
Direttive per la sicurezza (ErnestoCappelletti)
EYnfo dall'Alaska (mir)
Apriamo il quadro! (attilio)
H7-25 (asdf)
Passione Elettrica (massimob)
Elettroni a spasso (guidob)
Bloguerra (guerra)




