Ciao. Mi è dato questo circuito:
"Trovare l’espressione della corrente iL passante per l’induttanza una volta che nel seguente circuito si è chiuso l’interruttore"
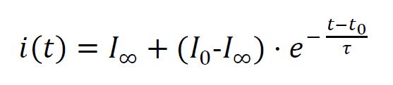
E nella risoluzione, il libro dice "Dobbiamo quindi trovare i termini da sostituire nell’equazione:
Mi chiedo... che equazione è?
Circuito tempo-variante
Moderatori:
g.schgor,
IsidoroKZ
10 messaggi
• Pagina 1 di 1
0
voti
Superandri91 ha scritto:Mi chiedo... che equazione è?
Quella che si usa sempre in presenza di una rete del primo ordine, quando si voglia "schivare" la fatica di trovare la soluzione dell'equazione differenziale.
"Il circuito ha sempre ragione" (Luigi Malesani)
0
voti
A ok! Grazie Renzo per la risposta! La apprezzo davvero perché per una volta non hai avuto da ridire sul mio post :)
Comunque questa formula si può applicare sempre?
Comunque questa formula si può applicare sempre?
-

Superandri91
-68 3 - Messaggi: 46
- Iscritto il: 16 lug 2011, 16:59
3
voti
Superandri91 ha scritto:A ok! Grazie Renzo per la risposta! La apprezzo davvero perché per una volta non hai avuto da ridire sul mio post :)
Scusa, me ne ero dimenticato ... ma come diavolo fai a postare una schifezza di disegno di quel tipo ? ... che manco e' delle corrette dimensioni? ... posta uno schema con FidoCadJ... perDiana
"Il circuito ha sempre ragione" (Luigi Malesani)
0
voti
In effetti mi pare strano che non abbia avuto da ridire, sara` gia` in modalita` "ferie"
.
Ora che sai come funziona da queste parti, mi premuniro` di cancellare i tuoi post che non rispettino gli standard di decenza minima usati su questo forum, vale a dire fidocad e latex.
Ora che sai come funziona da queste parti, mi premuniro` di cancellare i tuoi post che non rispettino gli standard di decenza minima usati su questo forum, vale a dire fidocad e latex.
Per usare proficuamente un simulatore, bisogna sapere molta più elettronica di lui
Plug it in - it works better!
Il 555 sta all'elettronica come Arduino all'informatica! (entrambi loro malgrado)
Se volete risposte rispondete a tutte le mie domande
Plug it in - it works better!
Il 555 sta all'elettronica come Arduino all'informatica! (entrambi loro malgrado)
Se volete risposte rispondete a tutte le mie domande
-5
voti
eddai ma è possibile che vi impuntate solo sugli aspetti grafici mentre non date nessuna risposta utile, tranne renzo in questo thread? Poi per usare quella roba che dici tu, dovrei sapere che cosa sto disegnando mentre non so di cosa si tratta! E' come dire ad un bambino di disegnare un babbalucio, che chiaramente non sa cos'è! :)
-

Superandri91
-68 3 - Messaggi: 46
- Iscritto il: 16 lug 2011, 16:59
1
voti
Qui non sei a casa tua. Cerca qualche altro posto dove possa fare quello che vuoi tu.
Per usare proficuamente un simulatore, bisogna sapere molta più elettronica di lui
Plug it in - it works better!
Il 555 sta all'elettronica come Arduino all'informatica! (entrambi loro malgrado)
Se volete risposte rispondete a tutte le mie domande
Plug it in - it works better!
Il 555 sta all'elettronica come Arduino all'informatica! (entrambi loro malgrado)
Se volete risposte rispondete a tutte le mie domande
0
voti
Superandri91 ha scritto: Poi per usare quella roba che dici tu, dovrei sapere che cosa sto disegnando mentre non so di cosa si tratta! E' come dire ad un bambino di disegnare un babbalucio, che chiaramente non sa cos'è! :)
http://www.electroyou.it/category/tools%20e%20guide
0
voti
Per una settimana faremo benissimo a meno di te.
Fra poco cancellero` questo thread.
Fra poco cancellero` questo thread.
Per usare proficuamente un simulatore, bisogna sapere molta più elettronica di lui
Plug it in - it works better!
Il 555 sta all'elettronica come Arduino all'informatica! (entrambi loro malgrado)
Se volete risposte rispondete a tutte le mie domande
Plug it in - it works better!
Il 555 sta all'elettronica come Arduino all'informatica! (entrambi loro malgrado)
Se volete risposte rispondete a tutte le mie domande
10 messaggi
• Pagina 1 di 1
Torna a Elettrotecnica generale
Chi c’è in linea
Visitano il forum: Nessuno e 21 ospiti

Elettrotecnica e non solo (admin)
Un gatto tra gli elettroni (IsidoroKZ)
Esperienza e simulazioni (g.schgor)
Moleskine di un idraulico (RenzoDF)
Il Blog di ElectroYou (webmaster)
Idee microcontrollate (TardoFreak)
PICcoli grandi PICMicro (Paolino)
Il blog elettrico di carloc (carloc)
DirtEYblooog (dirtydeeds)
Di tutto... un po' (jordan20)
AK47 (lillo)
Esperienze elettroniche (marco438)
Telecomunicazioni musicali (clavicordo)
Automazione ed Elettronica (gustavo)
Direttive per la sicurezza (ErnestoCappelletti)
EYnfo dall'Alaska (mir)
Apriamo il quadro! (attilio)
H7-25 (asdf)
Passione Elettrica (massimob)
Elettroni a spasso (guidob)
Bloguerra (guerra)


