Resistenza di ingresso OpAmp spice
Moderatori:
carloc,
g.schgor,
BrunoValente,
IsidoroKZ
17 messaggi
• Pagina 1 di 2 • 1, 2
0
voti
Esiste un modo per calcolare la resistenza di ingresso di un Op Amp tramite spice?
0
voti
Se ti spiegassi meglio sarebbe piu` facile da capire. Stai parlando dell'impedenza di ingresso di un amplificatore con operazionale o della Rid e Ric dell'operazionale?
E poi perche' con spice?
Per usare proficuamente un simulatore, bisogna sapere molta più elettronica di lui
Plug it in - it works better!
Il 555 sta all'elettronica come Arduino all'informatica! (entrambi loro malgrado)
Se volete risposte rispondete a tutte le mie domande
Plug it in - it works better!
Il 555 sta all'elettronica come Arduino all'informatica! (entrambi loro malgrado)
Se volete risposte rispondete a tutte le mie domande
0
voti
C'è un circuito di amplificazione fatto da vari operazionali. Devo calcolare la resistenza di ingresso del circuito. Non so come calcolarla e siccome il circuito è simulato su psice magari viene più semplice calcolarla da li. Se invece mettessi uno stadio di pre amp a BJT avrei come resistenza di ingresso del circuito la Rin del BJT?
0
voti
Se il primo stadio e` standard, la sua impedenza di ingresso e` nota, al piu` c'e` da aggiungere in parallelo qualche altra resistenza del circuito. Se non e` stardad, di solito con gli op amp e` facile valutarla mettendo un generatore di prova.
Posta lo schema con fidocad.
Posta lo schema con fidocad.
Per usare proficuamente un simulatore, bisogna sapere molta più elettronica di lui
Plug it in - it works better!
Il 555 sta all'elettronica come Arduino all'informatica! (entrambi loro malgrado)
Se volete risposte rispondete a tutte le mie domande
Plug it in - it works better!
Il 555 sta all'elettronica come Arduino all'informatica! (entrambi loro malgrado)
Se volete risposte rispondete a tutte le mie domande
0
voti
Lo schema è composto da 4 di questi in cascata

R1=100k
R2= 330k
R= 1k
C=1,5n
Ma se metto come primo stadio un buffer fatto con un BJT la Rin non sarà quella del transistore?

R1=100k
R2= 330k
R= 1k
C=1,5n
Ma se metto come primo stadio un buffer fatto con un BJT la Rin non sarà quella del transistore?
0
voti
Dipende da come colleghi il transistore. Perche' metti uno stadio a transistore davanti a un operazionale?
Comunque nello schema (la prossima volta in fidocad) l'impedenza di ingresso e` quella del condensatore piu` R.
A cosa serve un filtro passa alto a 100kHz davanti a un op amp?
Comunque nello schema (la prossima volta in fidocad) l'impedenza di ingresso e` quella del condensatore piu` R.
A cosa serve un filtro passa alto a 100kHz davanti a un op amp?
Per usare proficuamente un simulatore, bisogna sapere molta più elettronica di lui
Plug it in - it works better!
Il 555 sta all'elettronica come Arduino all'informatica! (entrambi loro malgrado)
Se volete risposte rispondete a tutte le mie domande
Plug it in - it works better!
Il 555 sta all'elettronica come Arduino all'informatica! (entrambi loro malgrado)
Se volete risposte rispondete a tutte le mie domande
0
voti
Quindi la Rin dovrebbe essere dell'ordine dei 10^-6? Però varia in base alla frequenza giusto? Il BJT prima dell'op amp servirebbe appunto per impostare la Rin senza modificare il segnale.
Il passa alto serve a tagliare le frequenze sotto i 100Khz e il segnale in continua. Dovevo realizzare un amplificatore di tensione con guadagno 100 e banda passante 1Mhz e facendo così ci son riuscito.
Il passa alto serve a tagliare le frequenze sotto i 100Khz e il segnale in continua. Dovevo realizzare un amplificatore di tensione con guadagno 100 e banda passante 1Mhz e facendo così ci son riuscito.
0
voti
Per principio non do mai voti negativi, ma il tuo post ci va vicino :)
Impedenza di ingresso di 10^-6 CHE COSA? bisogna specificare le unita` di misura, e poi anche il conto, dato che sicuramente e` sbagliato.
.
L'impedenza di ingresso e` variabile con la frequenza, va da infinito a 1kohm.
Guadagno di 100 e banda passante di 1MHz richiede un operazionale di quelli molto tosti.
E` per un progetto scolastico? Se la risposta e` si`, mi sa che non hai capito bene la teoria che c'e` dietro.
Fai tutto lo schema con fidocad.
Impedenza di ingresso di 10^-6 CHE COSA? bisogna specificare le unita` di misura, e poi anche il conto, dato che sicuramente e` sbagliato.
.
L'impedenza di ingresso e` variabile con la frequenza, va da infinito a 1kohm.
Guadagno di 100 e banda passante di 1MHz richiede un operazionale di quelli molto tosti.
E` per un progetto scolastico? Se la risposta e` si`, mi sa che non hai capito bene la teoria che c'e` dietro.
Fai tutto lo schema con fidocad.
Per usare proficuamente un simulatore, bisogna sapere molta più elettronica di lui
Plug it in - it works better!
Il 555 sta all'elettronica come Arduino all'informatica! (entrambi loro malgrado)
Se volete risposte rispondete a tutte le mie domande
Plug it in - it works better!
Il 555 sta all'elettronica come Arduino all'informatica! (entrambi loro malgrado)
Se volete risposte rispondete a tutte le mie domande
0
voti
Cavoli hai ragione, ho completamente sbagliato i calcoli. Il condensatore ha impedenza 1/jwc chissà perché ho scritto come impedenza jwc e ho confuso nano con micro XD
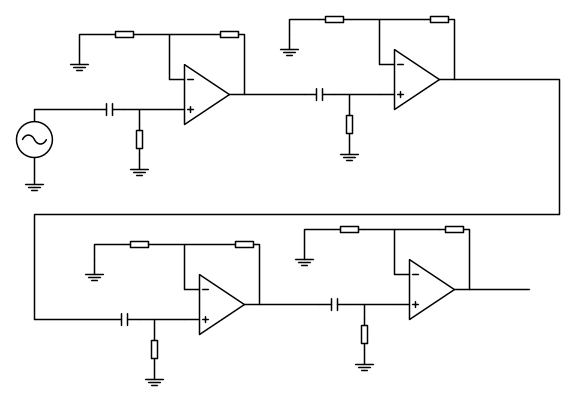
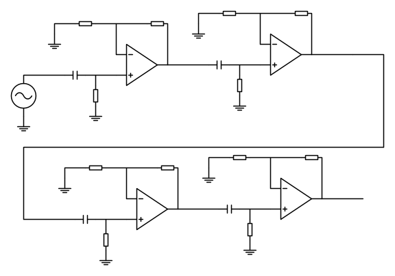
Lo schema l'ho fatto con spice e sono 4 passa alto in cascata. Ognuno di essi guadagna 3.3 con banda passante di 2MHz circa. Il guadagno finale è quindi 3,3^4=118
Magari non ho capito niente della teoria che ne sta dietro ma spice mi da ragione. Nell'analisi ac dell'uscita ottengo una banda passante di circa 2 MHz cioè da 100K a 2,1 K o giu di li.
Ecco lo schema con fidocad
Lo schema l'ho fatto con spice e sono 4 passa alto in cascata. Ognuno di essi guadagna 3.3 con banda passante di 2MHz circa. Il guadagno finale è quindi 3,3^4=118
Magari non ho capito niente della teoria che ne sta dietro ma spice mi da ragione. Nell'analisi ac dell'uscita ottengo una banda passante di circa 2 MHz cioè da 100K a 2,1 K o giu di li.
Ecco lo schema con fidocad
0
voti
Questo e` uno schema diverso da quello che avevi postato. Hai 4 zeri nell'origine e 4 poli a non so che frequeza.
Se tutti i gruppi RC sono da 1.5nF e 1kohm, hai 4 poli reali a 106kHz circa che a 100kHz danno una attenuazione di 13dB. La banda passante di quel filtro, definita come frequenza a -3dB, comincia dalle parti di 240kHz.
Usare poli reali e` un brutto modo di fare un filtro, si ottiene una transizione poco netta fra banda passante e banda attenuata.
In alto la banda viene limitata dal prodotto guadagno banda degli operazionali, non sapendo che operazionali hai messo non posso verificare. Direi siano dei jfet.
Quali sono le specifiche del progetto?
Se tutti i gruppi RC sono da 1.5nF e 1kohm, hai 4 poli reali a 106kHz circa che a 100kHz danno una attenuazione di 13dB. La banda passante di quel filtro, definita come frequenza a -3dB, comincia dalle parti di 240kHz.
Usare poli reali e` un brutto modo di fare un filtro, si ottiene una transizione poco netta fra banda passante e banda attenuata.
In alto la banda viene limitata dal prodotto guadagno banda degli operazionali, non sapendo che operazionali hai messo non posso verificare. Direi siano dei jfet.
Quali sono le specifiche del progetto?
Per usare proficuamente un simulatore, bisogna sapere molta più elettronica di lui
Plug it in - it works better!
Il 555 sta all'elettronica come Arduino all'informatica! (entrambi loro malgrado)
Se volete risposte rispondete a tutte le mie domande
Plug it in - it works better!
Il 555 sta all'elettronica come Arduino all'informatica! (entrambi loro malgrado)
Se volete risposte rispondete a tutte le mie domande
17 messaggi
• Pagina 1 di 2 • 1, 2
Chi c’è in linea
Visitano il forum: Nessuno e 251 ospiti

Elettrotecnica e non solo (admin)
Un gatto tra gli elettroni (IsidoroKZ)
Esperienza e simulazioni (g.schgor)
Moleskine di un idraulico (RenzoDF)
Il Blog di ElectroYou (webmaster)
Idee microcontrollate (TardoFreak)
PICcoli grandi PICMicro (Paolino)
Il blog elettrico di carloc (carloc)
DirtEYblooog (dirtydeeds)
Di tutto... un po' (jordan20)
AK47 (lillo)
Esperienze elettroniche (marco438)
Telecomunicazioni musicali (clavicordo)
Automazione ed Elettronica (gustavo)
Direttive per la sicurezza (ErnestoCappelletti)
EYnfo dall'Alaska (mir)
Apriamo il quadro! (attilio)
H7-25 (asdf)
Passione Elettrica (massimob)
Elettroni a spasso (guidob)
Bloguerra (guerra)


