Buongiorno,
Sono un appassionato di elettronica autodidatta, avevo una curiosità riguardo ai modelli, usati nei diversi testi di elettronica, dei transistor bipolari.
In particolare stavo studiando il modello a Pi greco e non mi ritornano i calcoli svolti.
Quindi la prima curiosità che avevo in proposito era la seguente.
I modelli che si usano sono approssimazioni ?
Di certo lo sono per i circuiti del mondo reale, ma riguardo ai software di simulazione mi aspetterei una precisione maggiore.
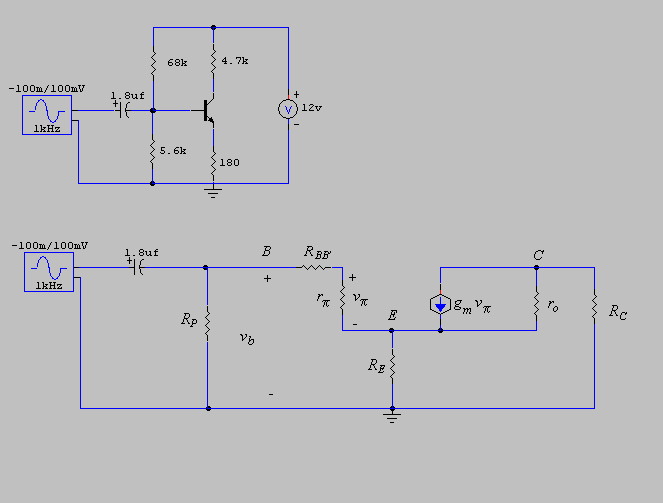
Per maggiore chiarezza nella figura c'è un classico amplificatore e il suo relativo modello a Pi greco
Se seguo le formule dei libri , il modello non si comporta di conseguenza, devo forzare i valori per farlo funzionare come il circuito di sopra.
Grazie per eventuali risposte.
Modello BJT
Moderatori:
carloc,
g.schgor,
BrunoValente,
IsidoroKZ
47 messaggi
• Pagina 1 di 5 • 1, 2, 3, 4, 5
2
voti
[2] Re: Modello BJT
Benvenuto! E bel post, sia per contenuti sia per schema allegato bene.
Complimenti per questa curiosita`, non e` da tutti, manco gli studenti di ingegneria si fanno di queste domande.
Si`! Tutti i modelli sono delle approssimazioni della realta`. Inoltre ci possono essere modelli piu` o meno precisi, a seconda dell'applicazione.
Ti stai riferendo a differenze fra risultati simulati e misure sul circuito reale, oppure fra simulazione e circuito calcolato a mano? Mi pare di capire che ti stai riferendo a quest'ultimo caso.
Che simulatore usi? Il transistor e` il solito npn piccolino, tipo 2n2222? Quali formule usi per i conti a mano?
Micrologus ha scritto:Sono un appassionato di elettronica autodidatta, avevo una curiosità riguardo ai modelli, usati nei diversi testi di elettronica, dei transistor bipolari.
In particolare stavo studiando il modello a Pi greco e non mi ritornano i calcoli svolti.
Complimenti per questa curiosita`, non e` da tutti, manco gli studenti di ingegneria si fanno di queste domande.
Micrologus ha scritto:Quindi la prima curiosità che avevo in proposito era la seguente.
I modelli che si usano sono approssimazioni ?
Si`! Tutti i modelli sono delle approssimazioni della realta`. Inoltre ci possono essere modelli piu` o meno precisi, a seconda dell'applicazione.
Micrologus ha scritto:Di certo lo sono per i circuiti del mondo reale, ma riguardo ai software di simulazione mi aspetterei una precisione maggiore.
Ti stai riferendo a differenze fra risultati simulati e misure sul circuito reale, oppure fra simulazione e circuito calcolato a mano? Mi pare di capire che ti stai riferendo a quest'ultimo caso.
Che simulatore usi? Il transistor e` il solito npn piccolino, tipo 2n2222? Quali formule usi per i conti a mano?
Per usare proficuamente un simulatore, bisogna sapere molta più elettronica di lui
Plug it in - it works better!
Il 555 sta all'elettronica come Arduino all'informatica! (entrambi loro malgrado)
Se volete risposte rispondete a tutte le mie domande
Plug it in - it works better!
Il 555 sta all'elettronica come Arduino all'informatica! (entrambi loro malgrado)
Se volete risposte rispondete a tutte le mie domande
0
voti
[3] Re: Modello BJT
Grazie per la risposta..
Per quanto riguarda la mia curiosità mi riferisco al fatto che il modello a Pi greco modelli con più precisione il modello simulato da cui ho ricavato i dati.
Comunque i Calcoli che ho usato sono i Seguenti:
Il problema è che L'impedenza d'ingresso del modello a Pi greco è all'incirca quello del modello simulato, e la Tensione in uscita è all'incirca quella del modello simulato.
E' questo termine "all'incirca" che non mi piace .
Se provo a forzare i valori del modello a Pi greco, ovvero li vario a modo mio, riesco ad avere una maggiore precisione.
Il simulatore è il Classico Spice, il modello del transistor è il classico 2n2222.
Ma la modellazione dei transistor varia da simulatore a simulatore e comunque non credo che abbia molto a che fare con i miei calcoli, visto che i dati li prendo direttamente dai modelli
Per quanto riguarda la mia curiosità mi riferisco al fatto che il modello a Pi greco modelli con più precisione il modello simulato da cui ho ricavato i dati.
Comunque i Calcoli che ho usato sono i Seguenti:
Il problema è che L'impedenza d'ingresso del modello a Pi greco è all'incirca quello del modello simulato, e la Tensione in uscita è all'incirca quella del modello simulato.
E' questo termine "all'incirca" che non mi piace .
Se provo a forzare i valori del modello a Pi greco, ovvero li vario a modo mio, riesco ad avere una maggiore precisione.
Il simulatore è il Classico Spice, il modello del transistor è il classico 2n2222.
Ma la modellazione dei transistor varia da simulatore a simulatore e comunque non credo che abbia molto a che fare con i miei calcoli, visto che i dati li prendo direttamente dai modelli
-

Micrologus
55 2 - New entry

- Messaggi: 94
- Iscritto il: 9 feb 2015, 17:29
0
voti
[4] Re: Modello BJT
Ciao
Micrologus!
Piace molto anche a me la tua domanda, però ti devo fare un piccolo appunto: occorre che tu riscriva le formule in
.
Per farlo, usa questo editor online, e poi copiale nel tuo messaggio tra gli appositi tag:

Piace molto anche a me la tua domanda, però ti devo fare un piccolo appunto: occorre che tu riscriva le formule in
.Per farlo, usa questo editor online, e poi copiale nel tuo messaggio tra gli appositi tag:
- Codice: Seleziona tutto
[tex][/tex]

2
voti
[5] Re: Modello BJT
Ci sono due aspetti: il simulatore usa delle equazioni piu` complicate di quelle usate a mano e soprattutto svariati termini in quelle equazioni non sai quanto valgano. Ad esempio
varia enormemente da un transistore all'altro, ad esempio un transistore con beta di 300 puo` andare da 100 a 900 (BC109). Visto che il costruttore si vergognava un po' li divideva in classi, dopo averli misurati (BC109A, BC109B e BC109C).
Inoltre oltre che dal transistore, varia con la temperatura, la corrente di collettore e la tensione base collettore, nonche' con l'umore di chi gli sta vicino. Discorso analgo per la tensione di Early
.
In pratica il modello usato da spice e` un po' piu` complesso di quello usato a mano, e non sai quali valori assume spice per i suoi calcoli.
Per questa ragione i circuiti che si fanno devono funzionare "qualunque" sial il beta (sia
che
, purche' sia da un valore minimo in su.
varia enormemente da un transistore all'altro, ad esempio un transistore con beta di 300 puo` andare da 100 a 900 (BC109). Visto che il costruttore si vergognava un po' li divideva in classi, dopo averli misurati (BC109A, BC109B e BC109C). Inoltre oltre che dal transistore, varia con la temperatura, la corrente di collettore e la tensione base collettore, nonche' con l'umore di chi gli sta vicino. Discorso analgo per la tensione di Early
. In pratica il modello usato da spice e` un po' piu` complesso di quello usato a mano, e non sai quali valori assume spice per i suoi calcoli.
Per questa ragione i circuiti che si fanno devono funzionare "qualunque" sial il beta (sia
che
, purche' sia da un valore minimo in su.Per usare proficuamente un simulatore, bisogna sapere molta più elettronica di lui
Plug it in - it works better!
Il 555 sta all'elettronica come Arduino all'informatica! (entrambi loro malgrado)
Se volete risposte rispondete a tutte le mie domande
Plug it in - it works better!
Il 555 sta all'elettronica come Arduino all'informatica! (entrambi loro malgrado)
Se volete risposte rispondete a tutte le mie domande
0
voti
[7] Re: Modello BJT
IsidoroKZ ha scritto:Ci sono due aspetti: il simulatore usa delle equazioni piu` complicate di quelle usate a mano e soprattutto svariati termini in quelle equazioni non sai quanto valgano. Ad esempiovaria enormemente da un transistore all'altro, ad esempio un transistore con beta di 300 puo` andare da 100 a 900 (BC109). Visto che il costruttore si vergognava un po' li divideva in classi, dopo averli misurati (BC109A, BC109B e BC109C).
Conosco Benissimo Le Equazioni usate Da Spice, il Modello Di Gummel-Poon, l'ho studiato e chiaramente per il massimo della precisione faccio affidamento solo a quelle di equazioni
IsidoroKZ ha scritto:Inoltre oltre che dal transistore, varia con la temperatura, la corrente di collettore e la tensione base collettore, nonche' con l'umore di chi gli sta vicino. Discorso analgo per la tensione di Early.
IsidoroKZ ha scritto:In pratica il modello usato da spice e` un po' piu` complesso di quello usato a mano, e non sai quali valori assume spice per i suoi calcoli.
Come dicievo prima li conosco bene i calcoli di Spice, Il modello è il Gummel -Poon, ho anche il codice sorgente di Spice, mi diverto anche a programmare, quindi Spice non è un problema
IsidoroKZ ha scritto:Per questa ragione i circuiti che si fanno devono funzionare "qualunque" sial il beta (siache
, purche' sia da un valore minimo in su.
Ma la mia curiosità è solamente un'altra, volevo sapere come mai nei libri di elettronica,
i vari: Gray-Meyer, Millman-Grabel, Sedra-Smith,Sergio Franco,Rashid, etc..etc... dedicano pagine ,pagine, e ancora pagine, a delle formule cosi' approsimate ?
Chiaramente non mi aspetto che un componente reale si comporti cosi' ,non si comporta neanche come un datasheet figuriamoci se si comporta come un libro.
Ma visto che il modello c'è lo sotto mano, ovvero quello offerto da Spice, senza nessun tipo di tolleranza, con calcoli che posso svolgere in precisione e risoluzione maniacale ,che neanche il più costoso oscilloscopio al mondo potrebbe fare, rimango molto perplesso sul fatto che i libri non si sono accorti che i loro calcoli non tornano( riferito ai modelli simulati al computer non ai modelli reali chiaramente.)
-

Micrologus
55 2 - New entry

- Messaggi: 94
- Iscritto il: 9 feb 2015, 17:29
0
voti
[8] Re: Modello BJT
In fase di progetto serve avere una idea di cosa capita, poi per i conti precisi, e soprattutto per le sensitivity e la dispersione dei parametri si usa un simulatore.
Ho provato a fare i conti con il circuito che hai presentato. Mi viene un guadagno, calcolato a mano, con un modello minimo del transistore, di 25.37dB (nota che tutte queste cifre sono senza significato, ma e` solo per confronto). Con il simulatore vengono 27.26dB, non mi sembra tanto male.
Puoi postare i tuoi conti e le tue simulazioni che vediamo le differenze?
Ho provato a fare i conti con il circuito che hai presentato. Mi viene un guadagno, calcolato a mano, con un modello minimo del transistore, di 25.37dB (nota che tutte queste cifre sono senza significato, ma e` solo per confronto). Con il simulatore vengono 27.26dB, non mi sembra tanto male.
Puoi postare i tuoi conti e le tue simulazioni che vediamo le differenze?
Per usare proficuamente un simulatore, bisogna sapere molta più elettronica di lui
Plug it in - it works better!
Il 555 sta all'elettronica come Arduino all'informatica! (entrambi loro malgrado)
Se volete risposte rispondete a tutte le mie domande
Plug it in - it works better!
Il 555 sta all'elettronica come Arduino all'informatica! (entrambi loro malgrado)
Se volete risposte rispondete a tutte le mie domande
0
voti
[9] Re: Modello BJT
Ciao grazie per il disturbo che ti prendi, ma prima di addentrarci nei calcoli, se mi dici che i libri e i vari modelli a Pi greco che si studiano, per tua esperienza , sono solo approsimazioni molto grossolane, mi metto l'anima in pace e non ci perdo più tempo.
E pensare che costano pure un occhio della testa molti di questi testi, cosi' risparmio anche un po' di soldi che non è male visto questo periodo di crisi generale
E pensare che costano pure un occhio della testa molti di questi testi, cosi' risparmio anche un po' di soldi che non è male visto questo periodo di crisi generale

-

Micrologus
55 2 - New entry

- Messaggi: 94
- Iscritto il: 9 feb 2015, 17:29
1
voti
[10] Re: Modello BJT
No non sono approssimazioni grossolane, sono degli ottimi strumenti di progetto. E i libri servono, a meno che non siano quelli di nuova elettronica, non sono mai soldi buttati.
Come hai visto fra calcolo a mano approssimato e spice mi viene una differenza di 0.1dB non mi pare male. Se non ti piace l'approssimazione dei conti fatti a mano, usa Gummel-Poon, ma in tal caso non stai facendo il progettista elettronico ma il matematico
(absit iniuria verbis).
Posta i tuoi conti e le tue simulazioni, che ne parliamo.
Come hai visto fra calcolo a mano approssimato e spice mi viene una differenza di 0.1dB non mi pare male. Se non ti piace l'approssimazione dei conti fatti a mano, usa Gummel-Poon, ma in tal caso non stai facendo il progettista elettronico ma il matematico
Posta i tuoi conti e le tue simulazioni, che ne parliamo.
Per usare proficuamente un simulatore, bisogna sapere molta più elettronica di lui
Plug it in - it works better!
Il 555 sta all'elettronica come Arduino all'informatica! (entrambi loro malgrado)
Se volete risposte rispondete a tutte le mie domande
Plug it in - it works better!
Il 555 sta all'elettronica come Arduino all'informatica! (entrambi loro malgrado)
Se volete risposte rispondete a tutte le mie domande
47 messaggi
• Pagina 1 di 5 • 1, 2, 3, 4, 5
Chi c’è in linea
Visitano il forum: Google [Bot] e 58 ospiti

Elettrotecnica e non solo (admin)
Un gatto tra gli elettroni (IsidoroKZ)
Esperienza e simulazioni (g.schgor)
Moleskine di un idraulico (RenzoDF)
Il Blog di ElectroYou (webmaster)
Idee microcontrollate (TardoFreak)
PICcoli grandi PICMicro (Paolino)
Il blog elettrico di carloc (carloc)
DirtEYblooog (dirtydeeds)
Di tutto... un po' (jordan20)
AK47 (lillo)
Esperienze elettroniche (marco438)
Telecomunicazioni musicali (clavicordo)
Automazione ed Elettronica (gustavo)
Direttive per la sicurezza (ErnestoCappelletti)
EYnfo dall'Alaska (mir)
Apriamo il quadro! (attilio)
H7-25 (asdf)
Passione Elettrica (massimob)
Elettroni a spasso (guidob)
Bloguerra (guerra)




