Buongiorno!
Ho un problema nello svolgimento di questo esercizio sul regime variabile:
Ho trovato una soluzione particolare con il metodo simbolico (fasori) facendo il rapporto tra il fasore del generatore di tensione e l'impedenza Zl I=E/(ZL) e quindi riportando il risultato nel dominio del tempo.
Ho scritto anche le equazioni di bipolo, e le leggi LKT e LKC ma non riesco a trovare l'equazione differenziale complessiva per risolverlo....
Per t<0, essendo l'interruttore aperto, la corrente dovrebbe essere nulla.
Ringrazio anticipatamente chi mi può dare una mano!...
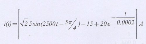
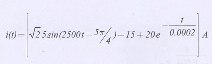
Risultato numerico:
[Elettrotecnica - Esercizio regime variabile]
Moderatori:
g.schgor,
IsidoroKZ
5 messaggi
• Pagina 1 di 1
0
voti
Quando T chiude il carico R-C viene cortoricuitato e rimane solo l'induttanza.
Quindi La corrente i(t) dipende solo dal generatore e dall'induttanza.
Quando T è aperto la i(t) è nulla.
Quindi La corrente i(t) dipende solo dal generatore e dall'induttanza.
Quando T è aperto la i(t) è nulla.
-

nunziato
4.291 3 9 12 - Master EY

- Messaggi: 531
- Iscritto il: 14 dic 2012, 23:14
- Località: Acri (CS) - Polistena (RC)
0
voti
nunziato ha scritto:Quindi La corrente i(t) dipende solo dal generatore e dall'induttanza.
Non mi pare: se quando si chiude l'interruttore il condensatore non e` scarico, ci sara` anche la corrente di C che si scarica attraverso R.
Per usare proficuamente un simulatore, bisogna sapere molta più elettronica di lui
Plug it in - it works better!
Il 555 sta all'elettronica come Arduino all'informatica! (entrambi loro malgrado)
Se volete risposte rispondete a tutte le mie domande
Plug it in - it works better!
Il 555 sta all'elettronica come Arduino all'informatica! (entrambi loro malgrado)
Se volete risposte rispondete a tutte le mie domande
5 messaggi
• Pagina 1 di 1
Torna a Elettrotecnica generale
Chi c’è in linea
Visitano il forum: Nessuno e 99 ospiti

Elettrotecnica e non solo (admin)
Un gatto tra gli elettroni (IsidoroKZ)
Esperienza e simulazioni (g.schgor)
Moleskine di un idraulico (RenzoDF)
Il Blog di ElectroYou (webmaster)
Idee microcontrollate (TardoFreak)
PICcoli grandi PICMicro (Paolino)
Il blog elettrico di carloc (carloc)
DirtEYblooog (dirtydeeds)
Di tutto... un po' (jordan20)
AK47 (lillo)
Esperienze elettroniche (marco438)
Telecomunicazioni musicali (clavicordo)
Automazione ed Elettronica (gustavo)
Direttive per la sicurezza (ErnestoCappelletti)
EYnfo dall'Alaska (mir)
Apriamo il quadro! (attilio)
H7-25 (asdf)
Passione Elettrica (massimob)
Elettroni a spasso (guidob)
Bloguerra (guerra)


