Buongiorno a tutti, volevo chiedere il vostro aiuto in una tipologia di esercizi: dei circuiti magnetici con magneti permanenti, e alcune richieste. Sono in difficoltà su tale tipo di esercizio in quanto larga parte del corso da me seguito di elettrotecnica si è concentrata sui circuiti elettrici, lasciamo questi all'ultima lezione. Allego delle immagini chiedendo qualche aiuto risolutivo.
Vi ringrazio anticipatamente. :)
Circuito magnetico con magnete permanente
Moderatori:
carloc,
g.schgor,
BrunoValente,
IsidoroKZ
12 messaggi
• Pagina 1 di 2 • 1, 2
0
voti
Di solito questi esercizi si risolvono utilizzando il metodo della dualità: in pratica ogni elemento circuitale magnetico viene trasformato nel suo duale elettrico. Basta ricordare che:
-Flusso magnetico
corrente elettrica
-Tensione magnetica
tensione elettrica
-Riluttanza (permeanza)
resistenza (conduttanza)
-Flusso magnetico
corrente elettrica-Tensione magnetica
tensione elettrica-Riluttanza (permeanza)
resistenza (conduttanza)0
voti
Sì, per quanto riguarda circuiti magnetici con spire e traferri riesco ad approcci armi proprio tramite il circuito elettrico duale, solo che non so come gestire il magnete e le richieste del modulo di H è prodotto H*B nel traferro, o la sintesi dell'elettromagnete equivalente.
0
voti
Per il calcolo del prodotto vettoriale, basta tenere conto che, nel traferro vale
.
Per quanto riguarda il magnete permanente, si può trattare come una sorgente di flusso costante, che dovrai calcolare utilizzando i dati geometrici e il vettore polarizzazione. Quindi ti basta sostituirlo con un elettromagnete che imponga lo stesso flusso ''ai suoi capi''.
.Per quanto riguarda il magnete permanente, si può trattare come una sorgente di flusso costante, che dovrai calcolare utilizzando i dati geometrici e il vettore polarizzazione. Quindi ti basta sostituirlo con un elettromagnete che imponga lo stesso flusso ''ai suoi capi''.
0
voti
non hai i dati geoemtrici del tratto in ferro nel secondo esercizio? Io risolvevo esercizi simili, ma avevo a disposizione tutti i dati geomtrici del sistema e procedevo applicando il teorema di Ampere
-

marauder10
25 3 - Messaggi: 45
- Iscritto il: 29 giu 2013, 21:25
0
voti
marauder10 ha scritto:non hai i dati geoemtrici del tratto in ferro nel secondo esercizio? Io risolvevo esercizi simili, ma avevo a disposizione tutti i dati geomtrici del sistema e procedevo applicando il teorema di Ampere
Mi mostreresti come risolvi questi esercizi in formule, senza badare ai dati? Vorrei capire meglio il concetto analitico, sulla carenza di dati non so dirti.
Ti ringrazio molto. :)
0
voti
Stokes ha scritto:Per il calcolo del prodotto vettoriale, basta tenere conto che, nel traferro vale.
Per quanto riguarda il magnete permanente, si può trattare come una sorgente di flusso costante, che dovrai calcolare utilizzando i dati geometrici e il vettore polarizzazione. Quindi ti basta sostituirlo con un elettromagnete che imponga lo stesso flusso ''ai suoi capi''.
Concettualmente lo capisco, poi tra l'altro non so perché nella traccia parli di prodotto scalare col simbolo del vettoriale, ma ho poca familiarità con le formule e con le caratteristiche del magnete.
Potresti mostrarmi in formule come affrontare il primo esercizio? Ti ringrazio molto, è il quarto esame in un mese e la testa inizia a cedere, oltretutto è solo una parte di tutta la prova scritta, ogni aiuto è enormemente apprezzato.
3
voti
non hai i dati geoemtrici del tratto in ferro nel secondo esercizio? Io risolvevo esercizi simili, ma avevo a disposizione tutti i dati geomtrici del sistema e procedevo applicando il teorema di Ampere
I dati geometrici del materiale ferromagnetico non ci sono semplicemente perché sono inutili: infatti c'è il dato
, che ci dice che i tratti in ferro hanno una permeanza trattabile come infinita, pertanto li rappresenteremo come dei cortocircuiti. In altri termini, il modulo di
nel ferro è trascurabile.Per calcolare i prodotti, scalari o vettoriali che siano, basta considerare l'andamento delle linee di flusso nelle varie zone del circuito. Ora non ho tempo di farti un bel disegnino con FidocadJ, ma te lo spiego a parole: nel traferro B e H sono equidiretti: prodotto scalare=BXH (moduli), prodotto vettoriale nullo. Nel magnete permanente invece le linee vettoriali di H e B sono sempre equidirette, ma in verso opposto:
, per intenderci.Per calcolare l'induzione (B) nel magnete permanente basta porre
; tale campo di induzione rimane costante nel circuito, pertanto nel traferro è uguale e vale
.Dopodichè sostituisci il magnete con un cortocircuito magnetico e inserisci al suo posto una bobina di N spire percorse da una corrente I costante: devi fare in modo che il valore dell'induzione (quindi del flusso, essendo approssimativamente
) rimanga costante: è piuttosto semplice, ti basta applicare la legge di Hopkinson.Non so se ho risposto a tutto ma devo proprio scappare; se hai ancora bisogno ti risponderà certamente qualcun altro, sicuramente più preparato di me

0
voti
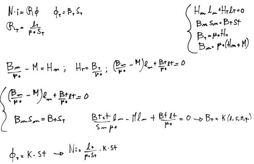
Ho provato a calcolare il flusso B nel traferro sfruttando le caratteristiche di traferro e magnete, dove però ho considerato anche Hm. Posto qui i calcoli in cui ho calcolato dunque N*i quanto debba valere, non so se è corretto.
Inoltre ho ancora dei dubbi sul prodotto scalare: ho capito ciò che dici sul loro verso ed il prodotto dei moduli, inoltre nel ferro possiamo porre H nullo annullando il prodotto, ma come calcolo tale prodotto nel traferro e nel magnete, essendo H e B dipendenti l'uno dall'altro? Applichiamo semplicemente una sostituzione in modo da avere alla fine H^2? Spero di aver chiarito il dubbio che ho.
Inoltre ho ancora dei dubbi sul prodotto scalare: ho capito ciò che dici sul loro verso ed il prodotto dei moduli, inoltre nel ferro possiamo porre H nullo annullando il prodotto, ma come calcolo tale prodotto nel traferro e nel magnete, essendo H e B dipendenti l'uno dall'altro? Applichiamo semplicemente una sostituzione in modo da avere alla fine H^2? Spero di aver chiarito il dubbio che ho.
0
voti
P.s. Peraltro la tua calligrafia lascia piuttosto a desiderare, quelle formule sono poco comprensibili
"Non farei mai parte di un club che accettasse la mia iscrizione" (G. Marx)
-

claudiocedrone
21,3k 4 7 9 - Master EY

- Messaggi: 15300
- Iscritto il: 18 gen 2012, 13:36
12 messaggi
• Pagina 1 di 2 • 1, 2
Chi c’è in linea
Visitano il forum: Nessuno e 43 ospiti

Elettrotecnica e non solo (admin)
Un gatto tra gli elettroni (IsidoroKZ)
Esperienza e simulazioni (g.schgor)
Moleskine di un idraulico (RenzoDF)
Il Blog di ElectroYou (webmaster)
Idee microcontrollate (TardoFreak)
PICcoli grandi PICMicro (Paolino)
Il blog elettrico di carloc (carloc)
DirtEYblooog (dirtydeeds)
Di tutto... un po' (jordan20)
AK47 (lillo)
Esperienze elettroniche (marco438)
Telecomunicazioni musicali (clavicordo)
Automazione ed Elettronica (gustavo)
Direttive per la sicurezza (ErnestoCappelletti)
EYnfo dall'Alaska (mir)
Apriamo il quadro! (attilio)
H7-25 (asdf)
Passione Elettrica (massimob)
Elettroni a spasso (guidob)
Bloguerra (guerra)

