Salve a tutti,
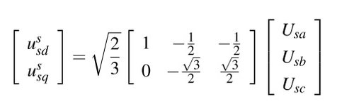
ho trovato questa trasformazione in una tesi. E ho dei forti dubbi che sia corretta, mi riferisco ai segni della II riga. Che mi dite? Grazie!!!
Trasformazione di Park
Moderatori:
g.schgor,
IsidoroKZ
8 messaggi
• Pagina 1 di 1
0
voti
Alcuni leggono "Guerra e pace", e pensano che sia solamente un libro d'avventure; altri, leggendo gli ingredienti su una cartina del chewing-gum, scoprono i segreti dell'universo.
0
voti
Allora diventa un problema: nella mia simulazione in simulink se metto i VALORI GIUSTI (cioè con gli elementi della II riga invertiti di segno rispetto a quanto postato prima) il mio motore va al contrario!
Chi mi ci dà un'occhiata?
Como posso far "tornare" la cosa?
Chi mi ci dà un'occhiata?
Como posso far "tornare" la cosa?
Alcuni leggono "Guerra e pace", e pensano che sia solamente un libro d'avventure; altri, leggendo gli ingredienti su una cartina del chewing-gum, scoprono i segreti dell'universo.
0
voti
afz ha scritto:Ciao, sì direi proprio di sì, i segni della seconda riga sono invertiti
Grazie, anche se è banale avevo bisogno di una conferma sicura!!! Posso chiederrti qualche dritta in simulink?
Alcuni leggono "Guerra e pace", e pensano che sia solamente un libro d'avventure; altri, leggendo gli ingredienti su una cartina del chewing-gum, scoprono i segreti dell'universo.
1
voti
Ciao, purtroppo sono di frettissima, ma così ad occhio ti suggerirei di provare a mettere come fasi della fase B e C i valori
e
, anzichè
e
. Così il motore nella simulazione dovrebbe girare giusto.
Spero di non aver detto scemenze
e
, anzichè
e
. Così il motore nella simulazione dovrebbe girare giusto.Spero di non aver detto scemenze
1
voti
afz ha scritto:Ciao, purtroppo sono di frettissima, ma così ad occhio ti suggerirei di provare a mettere come fasi della fase B e C i valorie
, anzichè
e
. Così il motore nella simulazione dovrebbe girare giusto.
Spero di non aver detto scemenze
funzia, funzia!
Grazie!
Alcuni leggono "Guerra e pace", e pensano che sia solamente un libro d'avventure; altri, leggendo gli ingredienti su una cartina del chewing-gum, scoprono i segreti dell'universo.
0
voti
Chissà perché però coi segni degli sfasamenti al verso giuso non mi torna, eppure i segni nel resto della simulazione vanno bene!
Alcuni leggono "Guerra e pace", e pensano che sia solamente un libro d'avventure; altri, leggendo gli ingredienti su una cartina del chewing-gum, scoprono i segreti dell'universo.
0
voti
abj79 ha scritto:segni degli sfasamenti al verso giusto
ripescando sul fondo del barile della memoria, mi pare di ricordare che gli angoli di sfasamento sono considerati positivi se valutati in senso antiorario. Mi pare...
Sebastiano
________________________________________________________________
"Eo bos issettaìa, avanzade e non timedas / sas ben'ennidas siedas, rundinas, a domo mia" (P. Mossa)
________________________________________________________________
"Eo bos issettaìa, avanzade e non timedas / sas ben'ennidas siedas, rundinas, a domo mia" (P. Mossa)
8 messaggi
• Pagina 1 di 1
Torna a Elettrotecnica generale
Chi c’è in linea
Visitano il forum: Nessuno e 17 ospiti

Elettrotecnica e non solo (admin)
Un gatto tra gli elettroni (IsidoroKZ)
Esperienza e simulazioni (g.schgor)
Moleskine di un idraulico (RenzoDF)
Il Blog di ElectroYou (webmaster)
Idee microcontrollate (TardoFreak)
PICcoli grandi PICMicro (Paolino)
Il blog elettrico di carloc (carloc)
DirtEYblooog (dirtydeeds)
Di tutto... un po' (jordan20)
AK47 (lillo)
Esperienze elettroniche (marco438)
Telecomunicazioni musicali (clavicordo)
Automazione ed Elettronica (gustavo)
Direttive per la sicurezza (ErnestoCappelletti)
EYnfo dall'Alaska (mir)
Apriamo il quadro! (attilio)
H7-25 (asdf)
Passione Elettrica (massimob)
Elettroni a spasso (guidob)
Bloguerra (guerra)




