Mi sono imbattuto in questa domanda:
In termini di valori percentuali sono uguali:
a) le tensioni di primario e di secondario;
b) la tensione di cortocircuito e la potenza dissipata nel rame;
c) la corrente di cortocircuito e l’inverso dell’impedenza di cortocircuito;
E' giusto indicare la a) come risposta giusta, in quanto (vedi allegato) ?
valori percentuali: una conferma
Moderatori:
SandroCalligaro,
mario_maggi,
fpalone
4 messaggi
• Pagina 1 di 1
0
voti
vero, errore mio che non ho fatto caso!
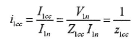
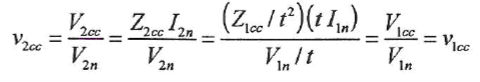
ricontrollando sarebbe la c) in quanto:
ricontrollando sarebbe la c) in quanto:
- Allegati
-
- 1.png (10.16 KiB) Osservato 3422 volte
-

Alberto000
-1 2 - Messaggi: 45
- Iscritto il: 6 feb 2016, 11:09
4 messaggi
• Pagina 1 di 1
Chi c’è in linea
Visitano il forum: Nessuno e 15 ospiti

Elettrotecnica e non solo (admin)
Un gatto tra gli elettroni (IsidoroKZ)
Esperienza e simulazioni (g.schgor)
Moleskine di un idraulico (RenzoDF)
Il Blog di ElectroYou (webmaster)
Idee microcontrollate (TardoFreak)
PICcoli grandi PICMicro (Paolino)
Il blog elettrico di carloc (carloc)
DirtEYblooog (dirtydeeds)
Di tutto... un po' (jordan20)
AK47 (lillo)
Esperienze elettroniche (marco438)
Telecomunicazioni musicali (clavicordo)
Automazione ed Elettronica (gustavo)
Direttive per la sicurezza (ErnestoCappelletti)
EYnfo dall'Alaska (mir)
Apriamo il quadro! (attilio)
H7-25 (asdf)
Passione Elettrica (massimob)
Elettroni a spasso (guidob)
Bloguerra (guerra)
